Suppr超能文献

通过转录组分析和靶标鉴定揭示钙调素信号通路下游成分在水稻盐胁迫反应中的作用。

Downstream components of the calmodulin signaling pathway in the rice salt stress response revealed by transcriptome profiling and target identification.

机构信息

Department of Biochemistry, Faculty of Science, Chulalongkorn University, Bangkok, Thailand.

Department of Plant Biology and Genome Center, University of California Davis, Davis, CA, 795616, USA.

出版信息

BMC Plant Biol. 2018 Dec 5;18(1):335. doi: 10.1186/s12870-018-1538-4.

Abstract

BACKGROUND

Calmodulin (CaM) is an important calcium sensor protein that transduces Ca signals in plant stress signaling pathways. A previous study has revealed that transgenic rice over-expressing the calmodulin gene OsCam1-1 (LOC_Os03g20370) is more tolerant to salt stress than wild type. To elucidate the role of OsCam1-1 in the salt stress response mechanism, downstream components of the OsCam1-1-mediated response were identified and investigated by transcriptome profiling and target identification.

RESULTS

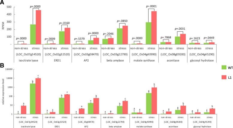
Transcriptome profiling of transgenic 'Khao Dawk Mali 105' rice over-expressing OsCam1-1 and wild type rice showed that overexpression of OsCam1-1 widely affected the expression of genes involved in several cellular processes under salt stress, including signaling, hormone-mediated regulation, transcription, lipid metabolism, carbohydrate metabolism, secondary metabolism, photosynthesis, glycolysis, tricarboxylic acid (TCA) cycle and glyoxylate cycle. Under salt stress, the photosynthesis rate in the transgenic rice was slightly lower than in wild type, while sucrose and starch contents were higher, suggesting that energy and carbon metabolism were affected by OsCam1-1 overexpression. Additionally, four known and six novel CaM-interacting proteins were identified by cDNA expression library screening with the recombinant OsCaM1. GO terms enriched in their associated proteins that matched those of the differentially expressed genes affected by OsCam1-1 overexpression revealed various downstream cellular processes that could potentially be regulated by OsCaM1 through their actions.

CONCLUSIONS

The diverse cellular processes affected by OsCam1-1 overexpression and possessed by the identified CaM1-interacting proteins corroborate the notion that CaM signal transduction pathways compose a complex network of downstream components involved in several cellular processes. These findings suggest that under salt stress, CaM activity elevates metabolic enzymes involved in central energy pathways, which promote or at least maintain the production of energy under the limitation of photosynthesis.

摘要

背景

钙调素(CaM)是一种重要的钙传感器蛋白,可在植物应激信号通路中传递 Ca 信号。先前的研究表明,过表达钙调素基因 OsCam1-1(LOC_Os03g20370)的转基因水稻比野生型更能耐受盐胁迫。为了阐明 OsCam1-1 在盐胁迫反应机制中的作用,通过转录组谱分析和靶标鉴定,鉴定并研究了 OsCam1-1 介导的反应的下游成分。

结果

过表达 OsCam1-1 的转基因“Khao Dawk Mali 105”水稻和野生型水稻的转录组谱分析表明,OsCam1-1 的过表达广泛影响了盐胁迫下参与几种细胞过程的基因的表达,包括信号转导、激素介导的调节、转录、脂质代谢、碳水化合物代谢、次生代谢、光合作用、糖酵解、三羧酸(TCA)循环和乙醛酸循环。在盐胁迫下,转基因水稻的光合作用速率略低于野生型,而蔗糖和淀粉含量较高,这表明能量和碳代谢受到 OsCam1-1 过表达的影响。此外,通过重组 OsCaM1 的 cDNA 表达文库筛选鉴定了四个已知和六个新的 CaM 相互作用蛋白。与其相关的蛋白所富集的 GO 术语与 OsCam1-1 过表达影响的差异表达基因相匹配,这表明 OsCaM1 可能通过其作用调节各种下游细胞过程。

结论

OsCam1-1 过表达影响的各种细胞过程以及鉴定的 CaM1 相互作用蛋白所具有的特性证实了钙调素信号转导途径构成了涉及几种细胞过程的下游成分的复杂网络。这些发现表明,在盐胁迫下,CaM 活性升高,参与中心能量途径的代谢酶,在光合作用受到限制的情况下,促进或至少维持能量的产生。

https://cdn.ncbi.nlm.nih.gov/pmc/blobs/5966/6282272/f95934d7c8f1/12870_2018_1538_Fig1_HTML.jpg

文献AI研究员

20分钟写一篇综述,助力文献阅读效率提升50倍。

立即体验

用中文搜PubMed

大模型驱动的PubMed中文搜索引擎

马上搜索

文档翻译

学术文献翻译模型,支持多种主流文档格式。

立即体验