Suppr超能文献

在线与线下治疗成人银屑病的效果比较:一项随机临床试验。

Effectiveness of Online vs In-Person Care for Adults With Psoriasis: A Randomized Clinical Trial.

机构信息

Department of Dermatology, Keck School of Medicine of the University of Southern California, Los Angeles.

Department of Dermatology, University of California Davis School of Medicine, Sacramento.

出版信息

JAMA Netw Open. 2018 Oct 5;1(6):e183062. doi: 10.1001/jamanetworkopen.2018.3062.

Abstract

IMPORTANCE

Innovative, online models of specialty-care delivery are critical to improving patient access and outcomes.

OBJECTIVE

To determine whether an online, collaborative connected-health model results in equivalent clinical improvements in psoriasis compared with in-person care.

DESIGN, SETTING, AND PARTICIPANTS: The Patient-Centered Outcomes Research Institute Psoriasis Teledermatology Trial is a 12-month, pragmatic, randomized clinical equivalency trial to evaluate the effect of an online model for psoriasis compared with in-person care. Participant recruitment and study visits took place at multicenter ambulatory clinics from February 2, 2015, to August 18, 2017. Participants were adults with psoriasis in Northern California, Southern California, and Colorado. The eligibility criteria were an age of 18 years or older, having physician-diagnosed psoriasis, access to the internet and a digital camera or mobile phone with a camera, and having a primary care physician. Analyses were on an intention-to-treat basis.

INTERVENTIONS

Participants were randomized 1:1 to receive online or in-person care (148 randomized to online care and 148 randomized to in-person care). The online model enabled patients and primary care physicians to access dermatologists online asynchronously. The dermatologists provided assessments, recommendations, education, and prescriptions online. The in-person group sought care in person. The frequency of online or in-person visits was determined by medical necessity. All participants were exposed to their respective interventions for 12 months.

MAIN OUTCOMES AND MEASURES

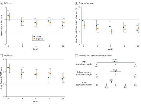
The prespecified primary outcome was the difference in improvement in the self-administered Psoriasis Area and Severity Index (PASI) score between the online and in-person groups. Prespecified secondary outcomes included body surface area (BSA) affected by psoriasis and the patient global assessment score.

RESULTS

Of the 296 randomized participants, 147 were women, 149 were men, 187 were white, and the mean (SD) age was 49 (14) years. The adjusted difference between the online and in-person groups in the mean change in the self-administered PASI score during the 12-month study period was -0.27 (95% CI, -0.85 to 0.31). The difference in the mean change in BSA affected by psoriasis between the 2 groups was -0.05% (95% CI, -1.58% to 1.48%). Between-group differences in the PASI score and BSA were within prespecified equivalence margins, which demonstrated equivalence between the 2 interventions. The difference in the mean change in the patient global assessment score between the 2 groups was -0.11 (95% CI, -0.32 to 0.10), which exceeded the equivalence margin, with the online group displaying greater improvement.

CONCLUSIONS AND RELEVANCE

The online, collaborative connected-health model was as effective as in-person management in improving clinical outcomes among patients with psoriasis. Innovative telehealth delivery models that emphasize collaboration, quality, and efficiency can be transformative to improving patient-centered outcomes in chronic diseases.

TRIAL REGISTRATION

ClinicalTrials.gov Identifier: NCT02358135.

摘要

重要性

创新的专业医疗在线模式对于改善患者的就诊机会和治疗效果至关重要。

目的

确定在线协作式互联医疗模式是否能与面对面护理一样,在银屑病治疗中实现同等的临床改善。

设计、地点和参与者:患者导向结果研究所银屑病远程医疗试验是一项为期 12 个月的实用随机临床等效性试验,旨在评估在线模型治疗银屑病与面对面护理的效果。参与者招募和研究访问于 2015 年 2 月 2 日至 2017 年 8 月 18 日在多中心门诊进行。参与者为北加利福尼亚、南加利福尼亚和科罗拉多的成年银屑病患者。入选标准为年龄 18 岁或以上,经医生诊断患有银屑病,可使用互联网和带摄像头的数字相机或移动电话,以及有初级保健医生。分析采用意向治疗原则。

干预措施

参与者被随机分配到在线或面对面护理组(148 人被分配到在线护理组,148 人被分配到面对面护理组)。在线模式使患者和初级保健医生能够与皮肤科医生进行异步在线交流。皮肤科医生在线提供评估、建议、教育和处方。面对面护理组则亲自寻求护理。在线或面对面就诊的频率由医疗必要性决定。所有参与者都接受了各自干预措施 12 个月的治疗。

主要结果和测量

预设的主要结局是在线和面对面护理组之间自我管理的银屑病面积和严重程度指数(PASI)评分改善差异。预设的次要结局包括受银屑病影响的体表面积(BSA)和患者整体评估评分。

结果

在 296 名随机参与者中,147 人为女性,149 人为男性,187 人为白人,平均(SD)年龄为 49(14)岁。在 12 个月的研究期间,在线和面对面护理组之间自我管理 PASI 评分的平均变化差异为 -0.27(95%CI,-0.85 至 0.31)。两组之间受银屑病影响的 BSA 平均变化差异为 -0.05%(95%CI,-1.58%至 1.48%)。两组间 PASI 评分和 BSA 的差异均在预设等效范围内,表明两种干预措施等效。两组间患者整体评估评分的平均变化差异为 -0.11(95%CI,-0.32 至 0.10),超出等效范围,在线组的改善程度更大。

结论和相关性

在线协作式互联医疗模式在改善银屑病患者的临床结局方面与面对面管理一样有效。强调协作、质量和效率的创新远程医疗交付模式可以改变慢性病患者以患者为中心的治疗结果。

试验注册

ClinicalTrials.gov 标识符:NCT02358135。

https://cdn.ncbi.nlm.nih.gov/pmc/blobs/7d45/6324453/ae777d6a246e/jamanetwopen-1-e183062-g001.jpg

文献AI研究员

20分钟写一篇综述,助力文献阅读效率提升50倍。

立即体验

用中文搜PubMed

大模型驱动的PubMed中文搜索引擎

马上搜索

文档翻译

学术文献翻译模型,支持多种主流文档格式。

立即体验