Suppr超能文献

健康供者和慢性淋巴细胞白血病患者淋巴细胞中 BACH2 和 PRDM1 基因的年龄相关变化。

Age-related changes in the BACH2 and PRDM1 genes in lymphocytes from healthy donors and chronic lymphocytic leukemia patients.

机构信息

Clinical and Experimental Hematology, Institut Jules Bordet, Université Libre de Bruxelles, Rue Heger Bordet 1, 1000, Brussels, Belgium.

Molecular Immunology Unit, Institut Jules Bordet, Université Libre de Bruxelles, Brussels, Belgium.

出版信息

BMC Cancer. 2019 Jan 17;19(1):81. doi: 10.1186/s12885-019-5276-2.

Abstract

BACKGROUND

Age-related genetic changes in lymphocyte subsets are not currently well documented. BACH2 is a transcription factor that plays an important role in immune-mediated homeostasis by tightly regulating PRDM1 expression in both B-cells and T-cells. BACH2 gene expression is highly sensitive to DNA damage in aged mice. This concept led us to investigate the variation in BACH2 and also PRDM1 expression in major lymphocyte subsets with age.

METHODS

Lymphocyte subsets from 60 healthy donors, aged from 20 to 90 years, and 41 untreated chronic lymphocytic leukemia patients were studied. BACH2 and PRDM1 gene expression was analyzed by real-time quantitative PCR. BACH2 gene expression was correlated with its protein expression. Lymphocyte apoptosis was evaluated after intracellular oxidative stress-inducing etoposide treatment of T and B cells.

RESULTS

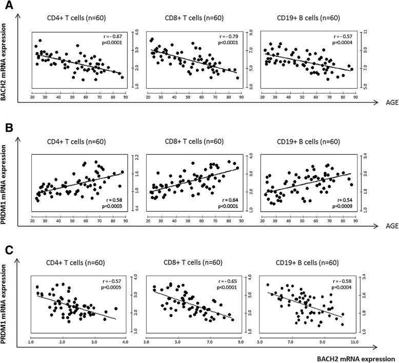
Our analysis shows BACH2 mRNA downregulation with age in healthy donor CD4+, CD8+ T-cells and CD19+ B-cells. Decreased BACH2 expression was also correlated with an age-related reduction in CD8 + CD28+ T-cells. We found a strong correlation between age-related BACH2 downregulation and decreased CD4+ T-cell and CD19+ B-cell apoptosis. PRDM1, as expected, was significantly upregulated in CD4+ T-cells, CD8+ T-cells and CD19+ B-cells, and inversely correlated with BACH2. A comparison of untreated chronic lymphocytic leukemia patients with age-matched healthy donors reveals that BACH2 mRNA expression was further reduced in CD4+ T-cells, CD8+ T-cells and leukemic-B cells. PRDM1 gene expression was consequently significantly upregulated in CD4+ and CD8+ T-cells in chronic lymphocytic leukemia patients but not in their leukemic B-cells.

CONCLUSION

Overall, our data suggest that BACH2 and PRDM1 genes are significantly correlated with age in human immune cells and may be involved in immunosenescence.

摘要

背景

目前尚未充分记录与年龄相关的淋巴细胞亚群的遗传变化。BACH2 是一种转录因子,通过在 B 细胞和 T 细胞中紧密调节 PRDM1 的表达,在免疫介导的稳态中发挥重要作用。BACH2 基因表达对衰老小鼠的 DNA 损伤高度敏感。这一概念促使我们研究 BACH2 和 PRDM1 在主要淋巴细胞亚群中的表达随年龄的变化。

方法

研究了来自 60 名年龄在 20 至 90 岁之间的健康供体和 41 名未经治疗的慢性淋巴细胞白血病患者的淋巴细胞亚群。通过实时定量 PCR 分析 BACH2 和 PRDM1 基因的表达。BACH2 基因表达与其蛋白表达相关。用细胞内氧化应激诱导剂依托泊苷处理 T 和 B 细胞后,评估淋巴细胞凋亡。

结果

我们的分析表明,在健康供体的 CD4+、CD8+T 细胞和 CD19+B 细胞中,BACH2 mRNA 随年龄下调。BACH2 表达的降低也与年龄相关的 CD8+CD28+T 细胞减少相关。我们发现,BACH2 下调与年龄相关的 CD4+T 细胞和 CD19+B 细胞凋亡减少之间存在很强的相关性。如预期的那样,PRDM1 在 CD4+T 细胞、CD8+T 细胞和 CD19+B 细胞中显著上调,并与 BACH2 呈负相关。与年龄匹配的健康供体相比,未经治疗的慢性淋巴细胞白血病患者的比较显示,CD4+T 细胞、CD8+T 细胞和白血病 B 细胞中的 BACH2 mRNA 表达进一步降低。PRDM1 基因表达随后在慢性淋巴细胞白血病患者的 CD4+和 CD8+T 细胞中显著上调,但在其白血病 B 细胞中则不然。

结论

总的来说,我们的数据表明 BACH2 和 PRDM1 基因在人类免疫细胞中与年龄显著相关,可能参与免疫衰老。

https://cdn.ncbi.nlm.nih.gov/pmc/blobs/9800/6337793/fe5c617e357b/12885_2019_5276_Fig1_HTML.jpg

文献AI研究员

20分钟写一篇综述,助力文献阅读效率提升50倍。

立即体验

用中文搜PubMed

大模型驱动的PubMed中文搜索引擎

马上搜索

文档翻译

学术文献翻译模型,支持多种主流文档格式。

立即体验