Suppr超能文献

软骨和骨血清生物标志物作为监测骨软骨骨软骨病损治疗用骨软骨支架的新工具。

Cartilage and Bone Serum Biomarkers as Novel Tools for Monitoring Knee Osteochondritis Dissecans Treated with Osteochondral Scaffold.

机构信息

IRCCS Istituto Ortopedico Rizzoli, SC Laboratorio di Immunoreumatologia e Rigenerazione Tissutale, Via di Barbiano 1/10, 40136 Bologna, Italy.

IRCCS Istituto Ortopedico Rizzoli, Laboratorio RAMSES, Via di Barbiano 1/10, 40136 Bologna, Italy.

出版信息

Biomed Res Int. 2018 Dec 23;2018:9275102. doi: 10.1155/2018/9275102. eCollection 2018.

Abstract

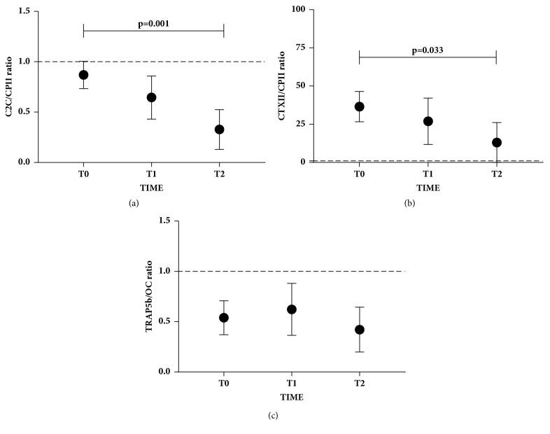
Knee osteochondritis dissecans (OCD) is a focal disease of the joint characterized by modifications of bone and cartilage tissues. Biomimetic osteochondral scaffolds are used to restore these tissues. The aim of this prognostic prospective cohort study was to evaluate serum biomarkers of cartilage (fragments or propeptide of type II collagen: CTXII, C2C, and CPII) and bone (tartrate-resistant acid phosphatase (TRAP) 5b and osteocalcin (OC)) turnover during follow-up of patients treated with an osteochondral scaffold, to identify which were related to healing outcome and clinical score. We found that cartilage (CPII) and bone (OC) synthetic biomarkers were significantly increased during the first-year follow-up, while the respective degradative markers (CTXII, C2C, and TRAP5b) were not modulated. Only CTXII/CPII and C2C/CPII cartilage ratios were significantly modulated, evidencing a higher remodeling of cartilage compared to bone tissue. Cartilage and bone single biomarkers or ratios at one-year follow-up showed values close to or similar to those of healthy subjects. International Knee Documentation Committee (IKDC) score significantly increased from T0 to T2, while the Tegner score did not. Taking into consideration an IKDC score > 70 as clinical success, we found that all OCD cases with both CPII (> 300 pg/ml) and C2C/CPII (<0.35) presented IKDC scores of clinical success. OCD patients treated with an osteochondral scaffold showed an improvement at one-year follow-up, evidenced by both clinical and serum cartilage biomarkers. These data confirmed that cartilage and bone remodeling took place and showed that systemic biomarkers represent a sensitive tool for monitoring OCD patients during the follow-up.

摘要

膝关节骨软骨骨软骨病(OCD)是一种以骨和软骨组织改变为特征的关节局灶性疾病。仿生骨软骨支架用于修复这些组织。本研究旨在评估接受骨软骨支架治疗的患者在随访期间软骨(碎片或 II 型胶原前肽:CTXII、C2C 和 CPII)和骨(抗酒石酸酸性磷酸酶 5b(TRAP5b)和骨钙素(OC))转换的血清生物标志物,以确定与愈合结果和临床评分相关的生物标志物。我们发现,在第一年的随访中,软骨(CPII)和骨(OC)合成生物标志物显著增加,而各自的降解标志物(CTXII、C2C 和 TRAP5b)未被调节。只有 CTXII/CPII 和 C2C/CPII 软骨比显著调节,表明与骨组织相比,软骨的重塑更高。在一年随访时,软骨和骨的单一生物标志物或比值接近或类似于健康受试者的值。国际膝关节文献委员会(IKDC)评分从 T0 到 T2 显著增加,而 Tegner 评分没有。考虑到 IKDC 评分>70 为临床成功,我们发现所有 CPII(>300pg/ml)和 C2C/CPII(<0.35)均>70 的 OCD 病例的 IKDC 评分均为临床成功。接受骨软骨支架治疗的 OCD 患者在一年随访时表现出改善,这一点在临床和血清软骨生物标志物中都得到了证实。这些数据证实了软骨和骨的重塑,表明系统生物标志物是监测 OCD 患者随访期间的敏感工具。

https://cdn.ncbi.nlm.nih.gov/pmc/blobs/477b/6323421/742c03306075/BMRI2018-9275102.001.jpg

文献AI研究员

20分钟写一篇综述,助力文献阅读效率提升50倍。

立即体验

用中文搜PubMed

大模型驱动的PubMed中文搜索引擎

马上搜索

文档翻译

学术文献翻译模型,支持多种主流文档格式。

立即体验