Suppr超能文献

土壤和灰尘中的疏水性有机污染物:电子废物回收场所多溴二苯醚的存在及其可能产生的影响。

Hydrophobic Organic Pollutants in Soils and Dusts at Electronic Waste Recycling Sites: Occurrence and Possible Impacts of Polybrominated Diphenyl Ethers.

机构信息

Institute of Environmental Sciences (CML), Leiden University, P.O. Box 9518, 2300 RA, Leiden, The Netherlands.

Key Laboratory of Industrial Ecology and Environmental Engineering (Ministry of Education), School of Environmental Science and Technology, Dalian University of Technology, Dalian 116024, China.

出版信息

Int J Environ Res Public Health. 2019 Jan 28;16(3):360. doi: 10.3390/ijerph16030360.

Abstract

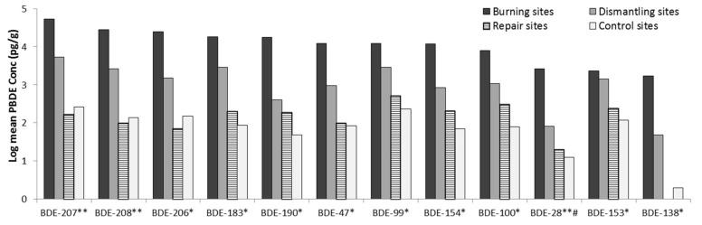
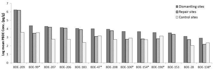
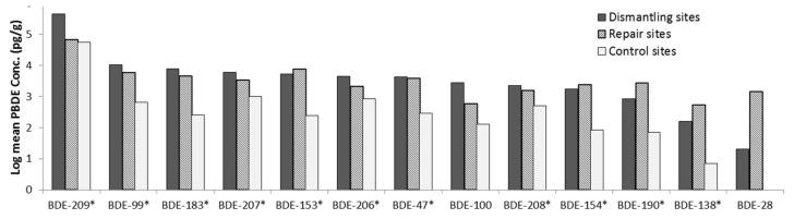
Concerns about the adverse consequences of informal electronic waste (e-waste) recycling is increasing, because e-waste contains some hazardous substances such as polybrominated diphenyl ethers (PBDEs) which is used as flame retardants in electronics. There is dearth of information on the concentrations of PBDEs and the pattern of distribution at the various e-waste recycling sites in Nigeria. This study therefore measured the concentrations of 13 PBDE congeners, in top soils (0⁻10 cm) and in various dust samples from different e-waste recycling sites (burning, dismantling, repair). PBDE concentrations at e-waste sites were compared with the concentrations in samples from corresponding control sites in three study locations in Nigeria (Lagos, Ibadan, and Aba). There were significant differences in the level of PBDEs congeners between each of the e-waste recycling sites and the corresponding control sites. The levels of PBDEs at the e-waste recycling sites exceeded the levels at the controls sites by a factor of 100 s to 1000 s. In general, PBDE concentrations at the e-waste sites decreased with the intensity of the e-waste recycling activities: burning sites > dismantling sites > repair sites > control sites. Our results suggest that the informal e-waste recycling has negative impacts on the enviroment and human health.

摘要

人们越来越担心非正式电子废物(e-waste)回收的不良后果,因为电子废物中含有一些有害物质,如多溴二苯醚(PBDEs),它被用作电子产品中的阻燃剂。目前,关于尼日利亚各个电子废物回收地点的 PBDE 浓度和分布模式的信息很少。因此,本研究测量了尼日利亚三个研究地点(拉各斯、伊巴丹和阿巴)不同电子废物回收地点(燃烧、拆解、维修)的表层土壤(0⁻10 厘米)和各种灰尘样本中 13 种 PBDE 同系物的浓度。将电子废物地点的 PBDE 浓度与来自对应对照地点的浓度进行了比较。每个电子废物回收地点与相应对照地点之间的 PBDE 同系物水平存在显著差异。电子废物回收地点的 PBDE 水平比对照地点高出 100 到 1000 倍。一般来说,电子废物回收地点的 PBDE 浓度随着电子废物回收活动的强度而降低:燃烧地点>拆解地点>维修地点>对照地点。我们的结果表明,非正式的电子废物回收对环境和人类健康有负面影响。

https://cdn.ncbi.nlm.nih.gov/pmc/blobs/1778/6388296/a5d8f2e28c79/ijerph-16-00360-g001.jpg

文献AI研究员

20分钟写一篇综述,助力文献阅读效率提升50倍。

立即体验

用中文搜PubMed

大模型驱动的PubMed中文搜索引擎

马上搜索

文档翻译

学术文献翻译模型,支持多种主流文档格式。

立即体验