Suppr超能文献

一种用于冷冻电镜单颗粒分析中束流诱导运动校正的贝叶斯方法。

A Bayesian approach to beam-induced motion correction in cryo-EM single-particle analysis.

作者信息

Zivanov Jasenko, Nakane Takanori, Scheres Sjors H W

机构信息

Medical Research Council Laboratory of Molecular Biology, Cambridge CB2 0QH, England.

出版信息

IUCrJ. 2019 Jan 1;6(Pt 1):5-17. doi: 10.1107/S205225251801463X.

Abstract

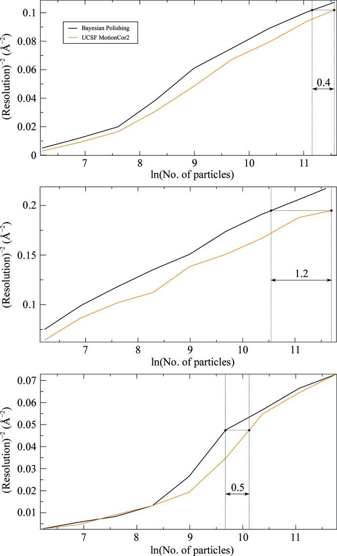
A new method to estimate the trajectories of particle motion and the amount of cumulative beam damage in electron cryo-microscopy (cryo-EM) single-particle analysis is presented. The motion within the sample is modelled through the use of Gaussian process regression. This allows a prior likelihood that favours spatially and temporally smooth motion to be associated with each hypothetical set of particle trajectories without imposing hard constraints. This formulation enables the likelihood of a set of particle trajectories to be expressed as a product of that prior likelihood and an observation likelihood given by the data, and this likelihood to then be maximized. Since the smoothness prior requires three parameters that describe the statistics of the observed motion, an efficient stochastic method to estimate these parameters is also proposed. Finally, a practical algorithm is proposed that estimates the average amount of cumulative radiation damage as a function of radiation dose and spatial frequency, and then fits relative factors to that damage in a robust way. The method is evaluated on three publicly available data sets, and its usefulness is illustrated by comparison with state-of-the-art methods and previously published results. The new method has been implemented as Bayesian polishing in -3, where it replaces the existing particle-polishing method, as it outperforms the latter in all tests conducted.

摘要

本文提出了一种在电子冷冻显微镜(cryo-EM)单颗粒分析中估计颗粒运动轨迹和累积束流损伤量的新方法。通过使用高斯过程回归对样品内的运动进行建模。这使得在不施加硬约束的情况下,与每组假设的颗粒轨迹相关联的是一种有利于空间和时间上平滑运动的先验似然性。这种公式化使得一组颗粒轨迹的似然性可以表示为先验似然性与由数据给出的观测似然性的乘积,然后最大化该似然性。由于平滑先验需要三个描述观测运动统计量的参数,因此还提出了一种估计这些参数的有效随机方法。最后,提出了一种实用算法,该算法估计累积辐射损伤的平均量作为辐射剂量和空间频率的函数,然后以稳健的方式拟合该损伤的相对因子。该方法在三个公开可用的数据集上进行了评估,并通过与现有方法和先前发表的结果进行比较来说明其有用性。新方法已在-3中实现为贝叶斯抛光,它取代了现有的颗粒抛光方法,因为在所有进行的测试中它都优于后者。

https://cdn.ncbi.nlm.nih.gov/pmc/blobs/ffef/6327179/a0fb9bdef71c/m-06-00005-fig1.jpg

文献AI研究员

20分钟写一篇综述,助力文献阅读效率提升50倍。

立即体验

用中文搜PubMed

大模型驱动的PubMed中文搜索引擎

马上搜索

文档翻译

学术文献翻译模型,支持多种主流文档格式。

立即体验