Suppr超能文献

饮水补充剂对猪空肠细胞炎症反应和细胞色素 P450 表达的影响。

Alteration in Inflammatory Responses and Cytochrome P450 Expression of Porcine Jejunal Cells by Drinking Water Supplements.

机构信息

Department of Pharmacology and Toxicology, University of Veterinary Medicine, István u. 2., Budapest 1078, Hungary.

Department of Food Hygiene, University of Veterinary Medicine, István u. 2, Budapest 1078, Hungary.

出版信息

Mediators Inflamm. 2019 Jan 2;2019:5420381. doi: 10.1155/2019/5420381. eCollection 2019.

Abstract

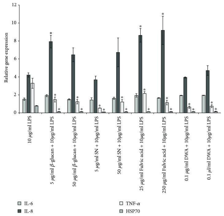
The intestinal epithelium is the first determining barrier to the drugs administered . Cytochrome P450 (CYP) enzymes are substantial in the initial step of xenobiotic metabolism; therefore, intestinal CYP enzyme activities could be an important influencing factor of the oral utilization of xenobiotic substances. In this study, the effect of four drinking water supplements on CYP mRNA levels of porcine intestinal epithelial cells was examined. Further goal of the study is to describe the effect of these feed additives on the proinflammatory response of the LPS-treated enterocytes. The nontransformed porcine intestinal epithelial cells (IPEC-J2) were grown on six-well polyester membrane inserts. Cell cultures were treated with LPS (10 g/ml), -glucan (5 and 50 g/ml), sanguinarine-containing additive (5 and 50 g/ml), drinking water acidifier (0.1 and 1 l/ml), and fulvic acid (25 and 250 g/ml) for 1 hour. Cells were washed with culture medium and incubated for additional 1 h before total RNA isolation. IL-6, IL-8, TNF-, HSP70, CYP1A1, CYP1A2, and CYP3A29 mRNA levels were measured. The LPS treatment upregulated the gene expression of IL-8 and TNF-. The relative gene expression of IL-6 remained unchanged and TNF- and HSP70 were downregulated after the treatment with each feed additive. CYP1A1 and CYP1A2 expressions increased after sanguinarine-containing solution, fulvic acid, and drinking water acidifier treatment. None of the treatments changed the gene expression of CYP3A29, responsible for the metabolism of the majority of drug substances used in swine industry. The feed additive substances inhibited the expression of proinflammatory mediators HSP70 and TNF-; however, -glucan and fulvic acid elevated the production of the chemokine IL-8 mRNA in endotoxin-treated enterocytes. All acidic supplements increased the expression of CYP1A1 gene; their constituents may serve as a ligand of CYP1A1 nuclear receptors.

摘要

肠上皮是药物进入体内的第一道决定屏障。细胞色素 P450(CYP)酶在异生物质代谢的初始步骤中起着重要作用;因此,肠 CYP 酶活性可能是影响异生物质口服利用的一个重要因素。本研究检测了四种饮用水补充剂对猪肠上皮细胞 CYP mRNA 水平的影响。本研究的进一步目的是描述这些饲料添加剂对 LPS 处理的肠细胞炎症反应的影响。非转化猪肠上皮细胞(IPEC-J2)在六孔聚酯膜插入物上生长。用 LPS(10μg/ml)、β-葡聚糖(5 和 50μg/ml)、含血根堿的添加剂(5 和 50μg/ml)、饮用水酸化剂(0.1 和 1l/ml)和富马酸(25 和 250μg/ml)处理细胞培养物 1 小时。用培养基洗涤细胞,然后在提取总 RNA 之前再培养 1 小时。测量 IL-6、IL-8、TNF-α、HSP70、CYP1A1、CYP1A2 和 CYP3A29 的 mRNA 水平。LPS 处理上调了 IL-8 和 TNF-α的基因表达。在用每种饲料添加剂处理后,IL-6 的相对基因表达保持不变,而 TNF-α和 HSP70 则下调。在用含血根堿的溶液、富马酸和饮用水酸化剂处理后,CYP1A1 和 CYP1A2 的表达增加。大多数用于猪业的药物物质代谢的 CYP3A29 的基因表达未受任何处理影响。饲料添加剂物质抑制了 HSP70 和 TNF-α等炎症介质的表达;然而,β-葡聚糖和富马酸增加了内毒素处理肠细胞中趋化因子 IL-8 mRNA 的产生。所有酸性补充剂均增加了 CYP1A1 基因的表达;其成分可能作为 CYP1A1 核受体的配体。

https://cdn.ncbi.nlm.nih.gov/pmc/blobs/53e2/6334367/ff827443174b/MI2019-5420381.001.jpg

文献AI研究员

20分钟写一篇综述,助力文献阅读效率提升50倍。

立即体验

用中文搜PubMed

大模型驱动的PubMed中文搜索引擎

马上搜索

文档翻译

学术文献翻译模型,支持多种主流文档格式。

立即体验