Suppr超能文献

评估动机性访谈和习惯形成对提高活动追踪器对健康成年人活动水平的影响:随机干预。

Evaluating Motivational Interviewing and Habit Formation to Enhance the Effect of Activity Trackers on Healthy Adults' Activity Levels: Randomized Intervention.

机构信息

Department of Kinesiology, Iowa State University, Ames, IA, United States.

Department of Health and Human Performance, University of Tennessee-Chatanooga, Chattanooga, TN, United States.

出版信息

JMIR Mhealth Uhealth. 2019 Feb 14;7(2):e10988. doi: 10.2196/10988.

Abstract

BACKGROUND

While widely used and endorsed, there is limited evidence supporting the benefits of activity trackers for increasing physical activity; these devices may be more effective when combined with additional strategies that promote sustained behavior change like motivational interviewing (MI) and habit development.

OBJECTIVE

This study aims to determine the utility of wearable activity trackers alone or in combination with these behavior change strategies for promoting improvements in active and sedentary behaviors.

METHODS

A sample of 91 adults (48/91 female, 53%) was randomized to receive a Fitbit Charge alone or in combination with MI and habit education for 12 weeks. Active and sedentary behaviors were assessed pre and post using research-grade activity monitors (ActiGraph and activPAL), and the development of habits surrounding the use of the trackers was assessed postintervention with the Self-Reported Habit Index. During the intervention, Fitbit wear time and activity levels were monitored with the activity trackers. Linear regression analyses were used to determine the influence of the trial on outcomes of physical activity and sedentary time. The influence of habits was examined using correlation coefficients relating habits of tracker use (wearing the tracker and checking data on the tracker and associated app) to Fitbit wear time and activity levels during the intervention and at follow-up.

RESULTS

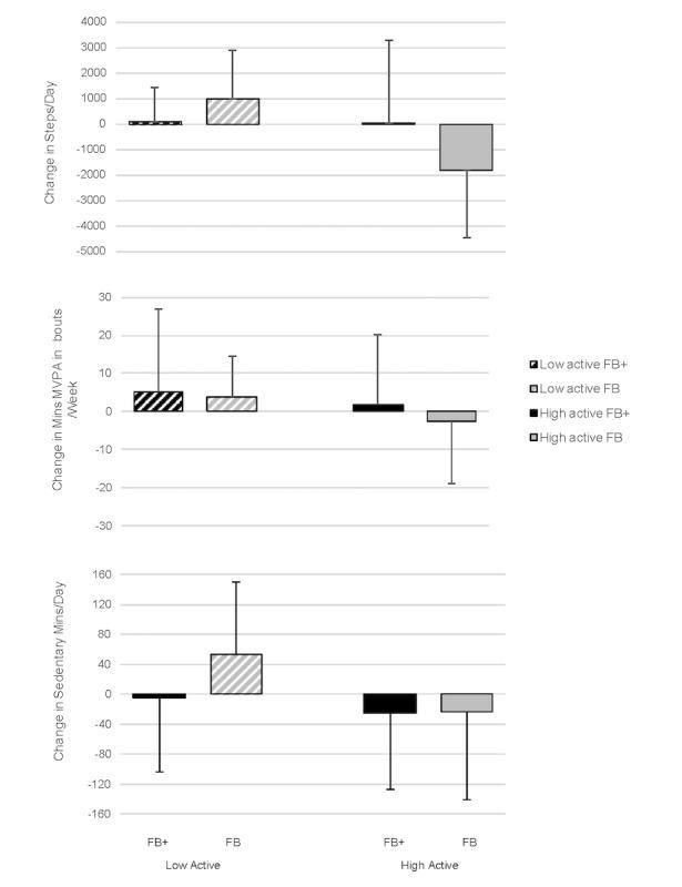
Regression analyses revealed no significant differences by group in any of the primary outcomes (all P>.05). However, personal characteristics, including lower baseline activity levels (beta=-.49, P=.01) and lack of previous experience with pedometers (beta=-.23, P=.03) were predictive of greater improvements in moderate and vigorous physical activity. Furthermore, for individuals with higher activity levels at the baseline, MI and habit education were more effective for maintaining these activity levels when compared with receiving a Fitbit alone (eg, small increase of ~48 steps/day, d=0.01, vs large decrease of ~1830 steps/day, d=0.95). Finally, habit development was significantly related to steps/day during (r=.30, P=.004) and following the intervention (r=.27, P=.03).

CONCLUSIONS

This study suggests that activity trackers may have beneficial effects on physical activity in healthy adults, but benefits vary based on individual factors. Furthermore, this study highlights the importance of habit development surrounding the wear and use of activity trackers and the associated software to promote increases in physical activity.

TRIAL REGISTRATION

ClinicalTrials.gov NCT03837366; https://clinicaltrials.gov/ct2/show/NCT03837366.

摘要

背景

尽管活动追踪器被广泛使用和认可,但支持其提高身体活动益处的证据有限;当与促进持续行为改变的其他策略(如动机性访谈和习惯养成)结合使用时,这些设备可能更有效。

目的

本研究旨在确定单独使用可穿戴活动追踪器或结合这些行为改变策略是否有助于改善活跃和久坐行为。

方法

91 名成年人(48/91 名女性,53%)被随机分为单独使用 Fitbit Charge 组或在接受 12 周的动机性访谈和习惯养成教育的同时使用 Fitbit Charge 组。在研究前和研究后使用研究级活动监测器(ActiGraph 和 activPAL)评估活跃和久坐行为,并在干预后使用自我报告习惯指数评估围绕使用追踪器形成习惯的情况。在干预期间,使用活动追踪器监测 Fitbit 的佩戴时间和活动水平。线性回归分析用于确定试验对身体活动和久坐时间结果的影响。使用相关系数来检验习惯对追踪器使用习惯(佩戴追踪器和查看追踪器及相关应用程序上的数据)与干预期间和随访期间 Fitbit 佩戴时间和活动水平的影响。

结果

回归分析显示,各组在任何主要结局指标上均无显著差异(均 P>.05)。然而,个人特征,包括较低的基线活动水平(β=-.49,P=.01)和缺乏以前使用计步器的经验(β=-.23,P=.03),与中度和剧烈身体活动的更大改善相关。此外,对于基线活动水平较高的个体,与单独接受 Fitbit Charge 相比,接受动机性访谈和习惯养成教育更有利于维持这些活动水平(例如,每天增加约 48 步,d=0.01,而每天减少约 1830 步,d=0.95)。最后,习惯养成与干预期间(r=.30,P=.004)和干预后(r=.27,P=.03)的每日步数显著相关。

结论

本研究表明,活动追踪器可能对健康成年人的身体活动有有益影响,但益处因个体因素而异。此外,本研究强调了围绕活动追踪器的佩戴和使用以及相关软件形成习惯的重要性,以促进身体活动的增加。

试验注册

ClinicalTrials.gov NCT03837366;https://clinicaltrials.gov/ct2/show/NCT03837366。

https://cdn.ncbi.nlm.nih.gov/pmc/blobs/fc75/6393778/4cc44b12984c/mhealth_v7i2e10988_fig1.jpg

文献AI研究员

20分钟写一篇综述,助力文献阅读效率提升50倍。

立即体验

用中文搜PubMed

大模型驱动的PubMed中文搜索引擎

马上搜索

文档翻译

学术文献翻译模型,支持多种主流文档格式。

立即体验