Suppr超能文献

欧盟MARS作物产量预测系统的性能:评估1993年至2015年期间的准确性、季内及逐年改进情况。

Performance of the MARS-crop yield forecasting system for the European Union: Assessing accuracy, in-season, and year-to-year improvements from 1993 to 2015.

作者信息

van der Velde M, Nisini L

机构信息

European Commission, Joint Research Centre (JRC), Ispra 21027, Italy.

出版信息

Agric Syst. 2019 Jan;168:203-212. doi: 10.1016/j.agsy.2018.06.009.

Abstract

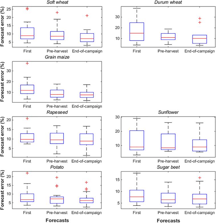
19,980 crop yield forecasts have been published for the European Union (EU) Member States (MS) during 1993-2015 using the MARS-Crop Yield Forecasting System (MCYFS). We assess the performance of these forecasts for soft wheat, durum wheat, grain maize, rapeseed, sunflower, potato and sugar beet, and sought to answer three questions. First, how good has the system performed? This was investigated by calculating several accuracy indicators (e.g. the mean absolute percentage error, MAPE) for the first forecasts during a season, forecasts one month pre-harvest, and the end-of-campaign (EOC) forecasts during 2006-2015 using reported yields. Second, do forecasts improve during the season? This was evaluated by comparing the accuracy of the first, the pre-harvest, and the EOC forecasts. Third, have forecasts systematically improved year-to-year? This was quantified by testing whether linear models fitted to the median of the national level absolute relative forecast errors for each crop at EU-12 (EU-27) level from 1993 to 2015 (2006-2015) were characterized by significant negative slopes. Encouragingly, the lowest median MAPE across all crops is obtained for Europe's largest producer, France, equalling 3.73%. Similarly, the highest median MAPE is obtained for Portugal, at 14.37%. Forecasts generally underestimated reported yields, with a systematic underestimation across all MS for soft wheat, rapeseed and sugar beet forecasts. Forecasts generally improve during the growing season; both the forecast error and its variability tend to progressively decrease. This is the case for the cereals, and to a lesser extent for the tuber crops, while seasonal forecast improvements are lower for the oilseed crops. The median EU-12 yield forecasts for rapeseed, potato and sugar beet have significantly (  ) improved from 1993 to 2015. No evidence was found for improvements for the other crops, neither was there any significant improvement in any of the crop forecasts from 2006 to 2015, evaluated at EU-27 level. In the early years of the MCYFS, most of the yield time series were characterized by strong trends; nowadays yield growth has slowed or even plateaued in several MS. In addition, an increased volatility in yield statistics is observed, and while crop yield forecasts tend to improve in a given year, in recent years, there is no evidence of structural improvements that carry-over from year-to-year. This underlines that renewed efforts to improve operational crop yield forecasting are needed, especially in the light of the increasingly variable and occasionally unprecedented climatic conditions impacting the EU's crop production systems.

摘要

1993年至2015年期间,利用MARS作物产量预测系统(MCYFS)发布了19980份针对欧盟成员国的作物产量预测。我们评估了这些针对软质小麦、硬质小麦、谷物玉米、油菜籽、向日葵、马铃薯和甜菜的预测表现,并试图回答三个问题。第一,该系统表现如何?通过计算2006年至2015年期间某一季首次预测、收获前一个月预测以及收获季末(EOC)预测的几个准确性指标(如平均绝对百分比误差,MAPE),并与报告产量进行比较来进行调查。第二,预测在季节内是否有所改善?通过比较首次、收获前和收获季末预测的准确性来评估。第三,预测是否逐年系统性改善?通过检验1993年至2015年(2006年至2015年)在欧盟12国(欧盟27国)层面上针对每种作物的国家层面绝对相对预测误差中位数拟合的线性模型是否具有显著负斜率来进行量化。令人鼓舞的是,欧洲最大的生产国法国在所有作物中获得了最低的中位数MAPE,为3.73%。同样,葡萄牙获得了最高的中位数MAPE,为14.37%。预测普遍低估了报告产量,在软质小麦、油菜籽和甜菜预测方面,所有成员国都存在系统性低估。预测在生长季节通常会有所改善;预测误差及其变异性往往会逐渐降低。谷物的情况如此,块茎作物的情况稍次,而油料作物的季节性预测改善较小。从1993年到2015年,欧盟12国油菜籽、马铃薯和甜菜的产量预测中位数有显著( )改善。未发现其他作物有改善的证据,在欧盟27国层面评估,2006年至2015年期间任何作物预测也没有显著改善。在MCYFS的早期,大多数产量时间序列具有强劲趋势;如今,几个成员国的产量增长已经放缓甚至停滞。此外,产量统计数据的波动性增加,虽然在某一年作物产量预测往往会有所改善,但近年来,没有证据表明存在逐年延续的结构性改善。这突出表明需要重新努力改进作物产量的业务预测,特别是鉴于影响欧盟作物生产系统的气候条件日益多变且偶尔出现前所未有的情况。

https://cdn.ncbi.nlm.nih.gov/pmc/blobs/0ebc/6360854/f5f79335fb0b/gr1.jpg

文献AI研究员

20分钟写一篇综述,助力文献阅读效率提升50倍。

立即体验

用中文搜PubMed

大模型驱动的PubMed中文搜索引擎

马上搜索

文档翻译

学术文献翻译模型,支持多种主流文档格式。

立即体验