Suppr超能文献

糖尿病肾病患者血清 microRNAs 的评估:巢式病例对照研究和生物信息学分析。

Evaluation of Serum microRNAs in Patients with Diabetic Kidney Disease: A Nested Case-Controlled Study and Bioinformatics Analysis.

机构信息

Department of Endocrinology, Wuhan Union Hospital, Tongji Medical College, Huazhong University of Science and Technology, Wuhan, Hubei, China (mainland).

出版信息

Med Sci Monit. 2019 Mar 5;25:1699-1708. doi: 10.12659/MSM.913265.

Abstract

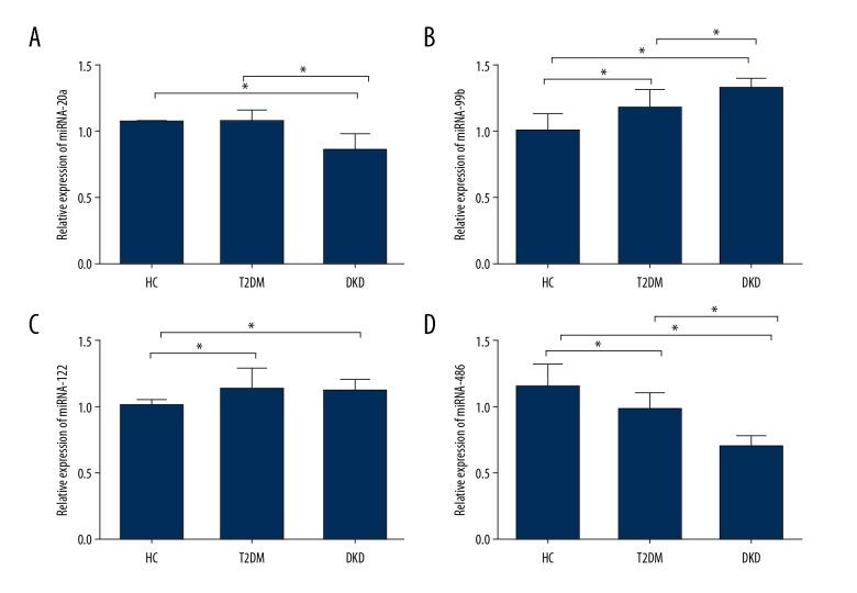
BACKGROUND Diabetic kidney disease (DKD) can result in end-stage kidney disease and renal failure. This study aimed to examine the expression of serum microRNAs (miRNAs), miR-20a, miR-99b, miR-122-5p, and miR-486-5p, and to use bioinformatics data to investigate the pathways involved in DKD. MATERIAL AND METHODS Serum miRNAs were obtained from 25 healthy volunteers, 50 patients with non-complicated type 2 diabetes mellitus (T2DM), and 42 patients with T2DM and DKD. Quantitative real-time polymerase chain reaction (qRT-PCR) was used to detect the expression of serum miRNAs. Specificity and sensitivity of the association between serum miRNAs in DKD were evaluated by analysis of the receiver operating characteristic (ROC) area under the curve (AUC). Serum miRNAs and clinical parameters of the patients were compared. Bioinformatics data analysis accessed the miRNA targets involved in the pathways related to the pathogenesis of DKD. RESULTS Serum levels of miR-99b and miR-122 significantly increased, and mir-20a and miR-486 decreased in the DKD group compared with healthy controls. Serum levels of miR-20a, miR-99b, miR-486-5p, and miR-122-5p were significantly correlated with albuminuria, estimated glomerular filtration rate (eGFR), blood glucose and lipid profiles. ROC curve analysis showed that diagnostic accuracy of serum levels of miR-99b for DKD was superior to miR-486-5p, miR-122-5p, and miR-20a, resulting in AUCs of 0.895, 0.853, 0.80, and 0.697, respectively. These four miRNAs regulate several genes affecting oxidative stress, inflammation, and apoptosis. CONCLUSIONS Serum miR-99b, miR-486-5p, miR-122-5p, and miR-20a were differentially expressed in patients with T2DM and DKD and should be evaluated further as potential biomarkers for DKD.

摘要

背景

糖尿病肾病(DKD)可导致终末期肾病和肾衰竭。本研究旨在检测血清 microRNAs(miRNAs),miR-20a、miR-99b、miR-122-5p 和 miR-486-5p 的表达,并利用生物信息学数据探讨 DKD 相关的途径。

材料与方法

从 25 名健康志愿者、50 名非复杂性 2 型糖尿病(T2DM)患者和 42 名 T2DM 合并 DKD 患者中获取血清 miRNAs。采用定量实时聚合酶链反应(qRT-PCR)检测血清 miRNAs 的表达。通过分析接受者操作特征(ROC)曲线下面积(AUC)评估血清 miRNAs 在 DKD 中的关联的特异性和敏感性。比较患者的血清 miRNAs 和临床参数。生物信息学数据分析访问与 DKD 发病机制相关的途径涉及的 miRNA 靶标。

结果

与健康对照组相比,DKD 组血清 miR-99b 和 miR-122 水平显著升高,而 miR-20a 和 miR-486 水平降低。血清 miR-20a、miR-99b、miR-486-5p 和 miR-122-5p 与蛋白尿、估计肾小球滤过率(eGFR)、血糖和血脂谱显著相关。ROC 曲线分析显示,血清 miR-99b 对 DKD 的诊断准确性优于 miR-486-5p、miR-122-5p 和 miR-20a,AUC 分别为 0.895、0.853、0.80 和 0.697。这四个 miRNA 调节影响氧化应激、炎症和细胞凋亡的几个基因。

结论

T2DM 和 DKD 患者的血清 miR-99b、miR-486-5p、miR-122-5p 和 miR-20a 表达存在差异,应进一步评估其作为 DKD 潜在生物标志物的作用。

https://cdn.ncbi.nlm.nih.gov/pmc/blobs/dfc7/6413564/08cc1a307a38/medscimonit-25-1699-g001.jpg

文献AI研究员

20分钟写一篇综述,助力文献阅读效率提升50倍。

立即体验

用中文搜PubMed

大模型驱动的PubMed中文搜索引擎

马上搜索

文档翻译

学术文献翻译模型,支持多种主流文档格式。

立即体验