Suppr超能文献

社交网络与急性脑卒中后延迟入院风险的关系。

Social networks and risk of delayed hospital arrival after acute stroke.

机构信息

Department of Neurology, Brigham and Women's Hospital, Harvard Medical School, Boston, 02115, MA, USA.

Network Science Institute, Northeastern University, Boston, 02115, MA, USA.

出版信息

Nat Commun. 2019 Mar 14;10(1):1206. doi: 10.1038/s41467-019-09073-5.

Abstract

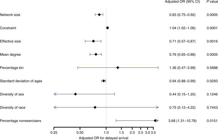
Arriving rapidly to the hospital after a heart attack or stroke is critical for patients to be within time windows for treatment. Prior research in heart attacks has suggested a paradoxical role of the social environment: those who arrive early are surrounded by nonrelatives, while those who arrive late are surrounded by spouses or family members. Here, we used network methods to more deeply examine the influence of social context in stroke. We examined the relationship of personal social networks and arrival time in 175 stroke patients. Our results confirmed the paradox by showing that small and close-knit personal networks of highly familiar contacts, independent of demographic, clinical, and socioeconomic factors, were related to delay. The closed network structure led to constricted information flow in which patients and close confidants, absent outside perspectives, elected to watch-and-wait. Targeting patients with small, close-knit networks may be one strategy to improve response times.

摘要

心梗或中风后迅速抵达医院对患者在治疗时间窗内接受治疗至关重要。先前在心梗方面的研究表明社会环境具有一种矛盾的作用:那些及时到达的患者身边通常没有亲属,而那些延迟到达的患者身边往往有配偶或家庭成员。在这里,我们使用网络方法更深入地研究了社会环境在中风中的影响。我们研究了 175 名中风患者的个人社会网络与到达时间之间的关系。我们的研究结果证实了这种矛盾,表明高度熟悉的密切联系人的小而紧密的个人网络与延迟有关,这与人口统计学、临床和社会经济因素无关。封闭的网络结构导致信息流受限,患者和亲密知己由于缺乏外部观点而选择观望。针对具有小而紧密网络的患者可能是提高响应时间的一种策略。

https://cdn.ncbi.nlm.nih.gov/pmc/blobs/d5d6/6418151/12c72c05c241/41467_2019_9073_Fig1_HTML.jpg

文献AI研究员

20分钟写一篇综述,助力文献阅读效率提升50倍。

立即体验

用中文搜PubMed

大模型驱动的PubMed中文搜索引擎

马上搜索

文档翻译

学术文献翻译模型,支持多种主流文档格式。

立即体验