Suppr超能文献

四功能嵌段共聚物促进新生仔猪的肺基因转移。

Tetrafunctional Block Copolymers Promote Lung Gene Transfer in Newborn Piglets.

作者信息

Caballero Ignacio, Riou Mickaël, Hacquin Océane, Chevaleyre Claire, Barc Céline, Pezant Jérémy, Pinard Anne, Fassy Julien, Rezzonico Roger, Mari Bernard, Heuzé-Vourc'h Nathalie, Pitard Bruno, Vassaux Georges

机构信息

INRA Centre Val de Loire - Université de Tours, UMR-1282 Infectiologie et Santé Publique (ISP), 37380 Nouzilly, France.

INRA Centre Val de Loire, UE-1277 Plateforme d'Infectiologie expérimentale (PFIE), 37380 Nouzilly, France.

出版信息

Mol Ther Nucleic Acids. 2019 Jun 7;16:186-193. doi: 10.1016/j.omtn.2019.02.016. Epub 2019 Feb 26.

Abstract

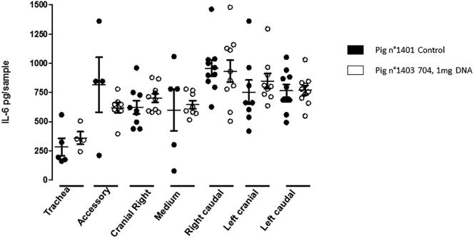
Tetrafunctional block copolymers are molecules capable of complexing DNA. Although ineffective in vitro, studies in mice have shown that the tetrafunctional block copolymer 704 is a more efficient lung gene transfer agent than the cationic liposome GL67A, previously used in a phase II clinical trial in cystic fibrosis patients. In the present study, we compared the gene transfer capacity of the 704-DNA formulation and a cationic liposome-DNA formulation equivalent to GL67A in a larger-animal model, the newborn piglet. Our results indicate an efficacy of the 704-DNA formulation well above one order of magnitude higher than that of the cationic liposome-DNA formulation, with no elevated levels of interleukin-6 (IL-6), taken as a marker of inflammation. Transgene expression was heterogeneous within lung lobes, with expression levels that were below the detection threshold in some samples, while high in other samples. This heterogeneity is likely to be due to the bolus injection procedure as well as to the small volume of injection. The present study highlights the potential of tetrafunctional block copolymers as non-viral vectors for lung gene therapy.

摘要

四功能嵌段共聚物是能够与DNA复合的分子。尽管在体外无效,但对小鼠的研究表明,四功能嵌段共聚物704是一种比阳离子脂质体GL67A更有效的肺部基因传递剂,GL67A此前曾用于囊性纤维化患者的II期临床试验。在本研究中,我们在新生仔猪这一更大动物模型中比较了704-DNA制剂和与GL67A等效的阳离子脂质体-DNA制剂的基因传递能力。我们的结果表明,704-DNA制剂的疗效比阳离子脂质体-DNA制剂高出一个数量级以上,且作为炎症标志物的白细胞介素-6(IL-6)水平没有升高。转基因表达在肺叶内是异质性的,在一些样本中的表达水平低于检测阈值,而在其他样本中则很高。这种异质性可能是由于推注注射程序以及注射体积较小所致。本研究突出了四功能嵌段共聚物作为肺部基因治疗非病毒载体的潜力。

https://cdn.ncbi.nlm.nih.gov/pmc/blobs/6b8e/6426709/a939ccb27570/fx1.jpg

文献AI研究员

20分钟写一篇综述,助力文献阅读效率提升50倍。

立即体验

用中文搜PubMed

大模型驱动的PubMed中文搜索引擎

马上搜索

文档翻译

学术文献翻译模型,支持多种主流文档格式。

立即体验