Suppr超能文献

非随机分布的唑类耐药性横跨全球烟曲霉种群。

Nonrandom Distribution of Azole Resistance across the Global Population of Aspergillus fumigatus.

机构信息

MRC Centre for Global Infectious Disease Analysis, Department of Infectious Disease Epidemiology, Imperial College London, London, United Kingdom

MRC Centre for Global Infectious Disease Analysis, Department of Infectious Disease Epidemiology, Imperial College London, London, United Kingdom.

出版信息

mBio. 2019 May 21;10(3):e00392-19. doi: 10.1128/mBio.00392-19.

Abstract

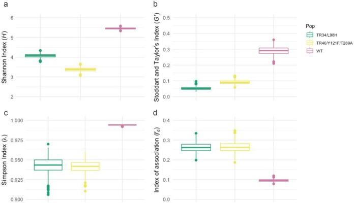
The emergence of azole resistance in the pathogenic fungus has continued to increase, with the dominant resistance mechanisms, consisting of a 34-nucleotide tandem repeat (TR)/L98H and TR/Y121F/T289A, now showing a structured global distribution. Using hierarchical clustering and multivariate analysis of 4,049 isolates collected worldwide and genotyped at nine microsatellite loci using analysis of short tandem repeats of (STR), we show that can be subdivided into two broad clades and that alleles TR/L98H and TR/Y121F/T289A are unevenly distributed across these two populations. Diversity indices show that azole-resistant isolates are genetically depauperate compared to their wild-type counterparts, compatible with selective sweeps accompanying the selection of beneficial mutations. Strikingly, we found that azole-resistant clones with identical microsatellite profiles were globally distributed and sourced from both clinical and environmental locations, confirming that azole resistance is an international public health concern. Our work provides a framework for the analysis of isolates based on their microsatellite profile, which we have incorporated into a freely available, user-friendly R Shiny application (AfumID) that provides clinicians and researchers with a method for the fast, automated characterization of genetic relatedness. Our study highlights the effect that azole drug resistance is having on the genetic diversity of and emphasizes its global importance upon this medically important pathogenic fungus. Azole drug resistance in the human-pathogenic fungus continues to emerge, potentially leading to untreatable aspergillosis in immunosuppressed hosts. Two dominant, environmentally associated resistance mechanisms, which are thought to have evolved through selection by the agricultural application of azole fungicides, are now distributed globally. Understanding the effect that azole resistance is having on the genetic diversity and global population of will help mitigate drug-resistant aspergillosis and maintain the azole class of fungicides for future use in both medicine and crop protection.

摘要

唑类耐药性在病原真菌中的出现持续增加,主要的耐药机制包括 34 核苷酸串联重复(TR)/L98H 和 TR/Y121F/T289A,现在呈现出结构化的全球分布。通过对全球 4049 株分离株进行层次聚类和多元分析,并使用微卫星位点九进行分析 (STR) 的短串联重复分析,我们表明 可以分为两个广泛的分支,并且 等位基因 TR/L98H 和 TR/Y121F/T289A 在这两个群体中分布不均。多样性指数表明,与野生型相比,唑类耐药分离株的遗传多样性较少,这与伴随有益突变选择的选择压力相吻合。引人注目的是,我们发现具有相同微卫星图谱的唑类耐药克隆在全球范围内分布,并源自临床和环境来源,这证实了唑类耐药性是一个国际公共卫生关注的问题。我们的工作为基于微卫星图谱分析 提供了一个框架,我们已经将其整合到一个免费的、用户友好的 R Shiny 应用程序(AfumID)中,该应用程序为临床医生和研究人员提供了一种快速、自动表征 的遗传相关性的方法。我们的研究强调了唑类耐药性对 遗传多样性的影响,并强调了其对这种具有重要医学意义的病原真菌的全球重要性。人类病原真菌中的唑类耐药性继续出现,可能导致免疫抑制宿主的侵袭性曲霉病无法治疗。两种主要的、与环境相关的耐药机制,据认为是通过农业应用唑类杀菌剂选择进化而来的,现在在全球范围内分布。了解唑类耐药性对 遗传多样性和全球种群的影响将有助于减轻耐药性曲霉病的发生,并维持唑类杀菌剂在未来医学和作物保护中的应用。

https://cdn.ncbi.nlm.nih.gov/pmc/blobs/8730/6529631/c5f360c64d0f/mBio.00392-19-f0001.jpg

文献AI研究员

20分钟写一篇综述,助力文献阅读效率提升50倍。

立即体验

用中文搜PubMed

大模型驱动的PubMed中文搜索引擎

马上搜索

文档翻译

学术文献翻译模型,支持多种主流文档格式。

立即体验