Suppr超能文献

追踪《健康人民2020》的互联网、宽带及移动设备接入目标:利用健康信息国家趋势调查数据的更新情况

Tracking Healthy People 2020 Internet, Broadband, and Mobile Device Access Goals: An Update Using Data From the Health Information National Trends Survey.

作者信息

Greenberg-Worisek Alexandra J, Kurani Shaheen, Finney Rutten Lila J, Blake Kelly D, Moser Richard P, Hesse Bradford W

机构信息

Mayo Clinic College of Medicine and Science, Rochester, MN, United States.

National Cancer Institute, National Institutes of Health, Rockville, MD, United States.

出版信息

J Med Internet Res. 2019 Jun 24;21(6):e13300. doi: 10.2196/13300.

Abstract

BACKGROUND

As the year 2020 approaches, there is a need to evaluate progress toward the United States government's Healthy People 2020 (HP2020) health information technology and communication objectives to establish baselines upon which Healthy People 2030 objectives can be based.

OBJECTIVE

The aim of this study was to use the National Cancer Institute's (NCI) Health Information National Trends Survey (HINTS) to benchmark progress toward HP2020 goals related to increasing internet access using broadband, and to assess the state of the digital divide for various sociodemographic groups.

METHODS

We merged and analyzed data from 8 administrations of HINTS (2003-2017). Descriptive statistics were generated, and predicted marginals were calculated using interaction terms between survey year and selected sociodemographic variables of interest, including age, sex, race and ethnicity, income, education, and geography (rural versus urban), to test for differential change over time.

RESULTS

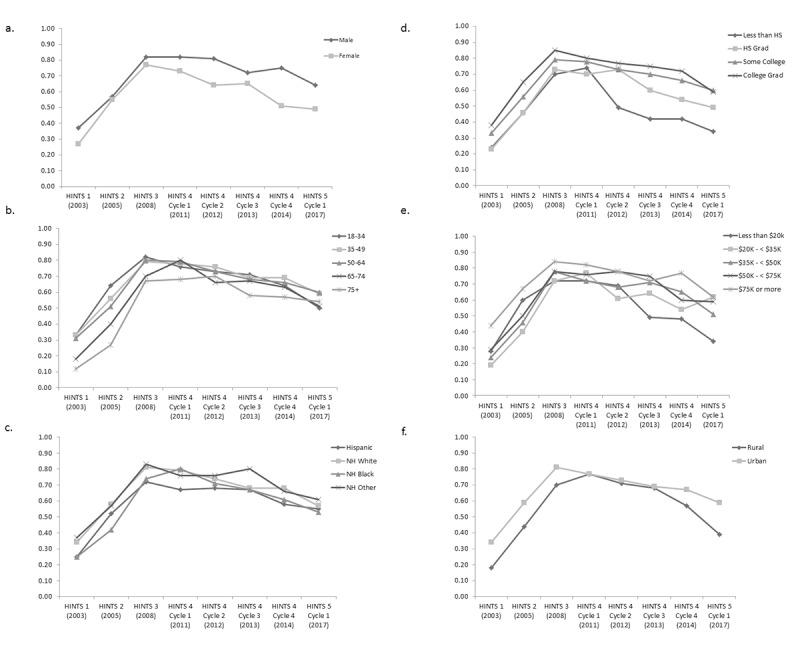
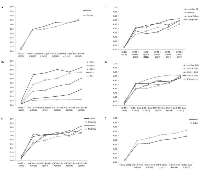
The number of users having access to the internet increased between 2003 and 2014 (63.15% [3982/6358] to 83.41% [2802/3629]); it remained relatively steady from 2014 to 2017 (81.15% [2533/3283]). Broadband access increased between 2003 and 2011 (from 32.83% [1031/3352] to 77.87% [3375/4405]), but has been declining since (55.93% [1364/2487] in 2017). Access via cellular network increased between 2008 and 2017 (from 6.86% [240/4405] to 65.43% [1436/2489]). Statistically significant disparities in overall internet access were noted in the predicted marginals for age, sex, race and ethnicity, income, and education; for age, sex, income, and geography for broadband access; and for age and sex for cellular network.

CONCLUSIONS

The targets set forth in HP2020 were met for overall internet access and for internet access via cellular network; however, the target was not met for internet access via broadband. Furthermore, although the digital divide persisted by sociodemographic characteristics, the magnitude of many disparities in access decreased over time.

摘要

背景

随着2020年的临近,有必要评估美国政府“健康人民2020”(HP2020)健康信息技术与通信目标的进展情况,以建立“健康人民2030”目标可依据的基线。

目的

本研究旨在利用美国国立癌症研究所(NCI)的健康信息全国趋势调查(HINTS),衡量在增加宽带互联网接入方面实现HP2020目标的进展,并评估不同社会人口群体的数字鸿沟状况。

方法

我们合并并分析了HINTS 8次调查(2003 - 2017年)的数据。生成描述性统计数据,并使用调查年份与选定的感兴趣社会人口变量(包括年龄、性别、种族和民族、收入、教育程度以及地理位置(农村与城市))之间的交互项计算预测边际值,以检验随时间的差异变化。

结果

2003年至2014年期间,可访问互联网的用户数量有所增加(从63.15%[3982/6358]增至83.41%[2802/3629]);2014年至2017年保持相对稳定(81.15%[2533/3283])。2003年至2011年宽带接入有所增加(从32.83%[1031/3352]增至77.87%[3375/4405]),但此后一直在下降(2017年为55.93%[1364/2487])。2008年至2017年通过蜂窝网络的接入有所增加(从6.86%[240/4405]增至65.43%[1436/2489])。在年龄、性别、种族和民族、收入及教育程度的预测边际值中,总体互联网接入存在统计学显著差异;在宽带接入方面,年龄、性别、收入及地理位置存在差异;在蜂窝网络接入方面,年龄和性别存在差异。

结论

在总体互联网接入和通过蜂窝网络的互联网接入方面实现了HP2020设定的目标;然而,通过宽带的互联网接入未达目标。此外,尽管数字鸿沟因社会人口特征持续存在,但许多接入方面的差距幅度随时间有所减小。

https://cdn.ncbi.nlm.nih.gov/pmc/blobs/2d82/6613328/c8c1b929b54f/jmir_v21i6e13300_fig1.jpg

文献AI研究员

20分钟写一篇综述,助力文献阅读效率提升50倍。

立即体验

用中文搜PubMed

大模型驱动的PubMed中文搜索引擎

马上搜索

文档翻译

学术文献翻译模型,支持多种主流文档格式。

立即体验