Suppr超能文献

有或无冠状动脉疾病患者拔牙后心肌损伤相关的分子标志物。

Molecular markers relevant to myocardial injury following dental extraction in patients with or without coronary artery disease.

作者信息

Habbab K M, D'Aiuto F, Habbab M A, Porter S R

机构信息

1UCL Eastman Dental Institute, London, England UK.

2Prince Sultan Cardiac Center, Riyadh, Saudi Arabia.

出版信息

BDJ Open. 2019 Jun 20;5:9. doi: 10.1038/s41405-019-0018-8. eCollection 2019.

Abstract

OBJECTIVES

The aim of this study was to characterize biological changes following dental extractions in patients with or without coronary artery disease (CAD).

MATERIALS AND METHODS

Forty-five patients (36 males and 9 females) referred for dental extraction underwent treatment and provided blood samples before, immediately after, and 24 h after the procedure. A broad array of biomarkers was employed to assess myocardial injury (highly sensitive troponin T, hs-TnT), bacterial burden (LPS endotoxin activity), and systemic inflammation (CRP, fibrinogen, IFN-γ, IL-1β, IL-6, IL-8, IL-10, IL-12, and TNF-α).

RESULTS

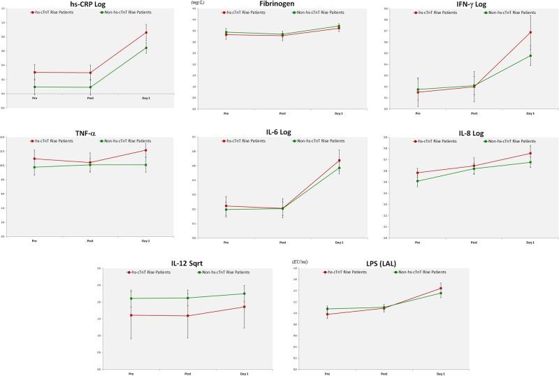
Dental extraction in patients with or without CAD was associated with rises in hs-TnT ( = 0.013), hs-CRP ( < 0.001), fibrinogen ( = 0.005), endotoxin activity ( < 0.001), IFN-γ ( < 0.001), IL-6 ( < 0.001), IL-8 ( = 0.011), and IL-12 ( < 0.001) at 24 h compared with immediately post procedure. Changes in systemic inflammation and endotoxin activity were more evident in those with hs-TnT rise.

CONCLUSIONS

Simple dental extractions may cause mild increase in hs-TnT, indicating minor myocardial injury in both patients with or without CAD. Acute systemic inflammation and endotoxemia could represent a possible link between invasive dental treatment and increased risk of acute cardiovascular events. These findings indicate that invasive dental treatment (as simple as a single dental extraction) may impact negatively on clinical outcomes in dental patients, especially those with CAD.

摘要

目的

本研究旨在描述有或无冠状动脉疾病(CAD)患者拔牙后的生物学变化。

材料与方法

45例因拔牙前来就诊的患者(36例男性,9例女性)接受了治疗,并在术前、术后即刻及术后24小时提供了血样。采用了一系列生物标志物来评估心肌损伤(高敏肌钙蛋白T,hs-TnT)、细菌负荷(LPS内毒素活性)和全身炎症反应(CRP、纤维蛋白原、IFN-γ、IL-1β、IL-6、IL-8、IL-10、IL-12和TNF-α)。

结果

有或无CAD的患者拔牙后,与术后即刻相比,24小时时hs-TnT(P = 0.013)、hs-CRP(P < 0.001)、纤维蛋白原(P = 0.005)、内毒素活性(P < 0.001)、IFN-γ(P < 0.001)、IL-6(P < 0.001)、IL-8(P = 0.011)和IL-12(P < 0.001)均升高。hs-TnT升高的患者全身炎症反应和内毒素活性变化更明显。

结论

简单的拔牙可能导致hs-TnT轻度升高,表明有或无CAD的患者均有轻微心肌损伤。急性全身炎症反应和内毒素血症可能是侵入性牙科治疗与急性心血管事件风险增加之间的潜在联系。这些发现表明,侵入性牙科治疗(如简单的单次拔牙)可能对牙科患者的临床结局产生负面影响,尤其是CAD患者。

https://cdn.ncbi.nlm.nih.gov/pmc/blobs/7a19/6586777/3571a30e1c1a/41405_2019_18_Fig1_HTML.jpg

文献AI研究员

20分钟写一篇综述,助力文献阅读效率提升50倍。

立即体验

用中文搜PubMed

大模型驱动的PubMed中文搜索引擎

马上搜索

文档翻译

学术文献翻译模型,支持多种主流文档格式。

立即体验