Suppr超能文献

滤过性手术中结膜血管的光学相干断层扫描血管造影评估

Optical Coherence Tomography Angiography Evaluation of Conjunctival Vessels During Filtering Surgery.

作者信息

Hayek Stéphanie, Labbé Antoine, Brasnu Emmanuelle, Hamard Pascale, Baudouin Christophe

机构信息

Department of Ophthalmology III, Quinze-Vingts Hospital, Paris, France.

Quinze-Vingts Hospital, DHU Sight Restore, INSERM-DHOS CIC, Paris, France.

出版信息

Transl Vis Sci Technol. 2019 Jul 3;8(4):4. doi: 10.1167/tvst.8.4.4. eCollection 2019.

Abstract

PURPOSE

To evaluate the changes in conjunctival vascularization with optical coherence tomography angiography (OCT-A) before and after filtering surgery and to correlate these results with filtering surgery success.

METHODS

We evaluated 20 blebs of 20 patients after a first-time trabeculectomy. Conjunctival vascularization was quantified using ImageJ software. Eyes were classified into two groups according to the preoperative conjunctival vessel density: hypovascularized conjunctiva (HypoV; 10 eyes) and hypervascularized conjunctiva (HyperV; 10 eyes). The density of intraepithelial microcysts (0 to 3) was also analyzed.

RESULTS

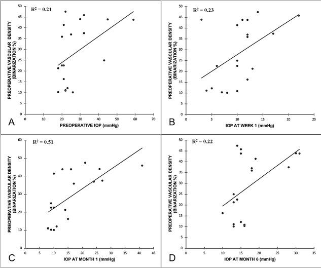
There were significantly more needling procedures in the HyperV group, with 70% of the eyes undergoing needling during follow-up compared to 20% in the HypoV group ( = 0.012). In the HyperV group, 50% of the eyes required IOP-lowering eyedrops after surgery, compared to 10% in the HypoV group ( = 0.029). HypoV showed significantly more intraepithelial microcysts than did HyperV at 1 week (1.1 vs. 0.4, = 0.0215), 1 month (2.2 vs. 0.4, = 0.0003), and 6 months postoperatively (2.0 vs. 0.7, = 0.0068). A statistically significant correlation was found between preoperative conjunctival vascular density and mean IOP at 1 week ( = 0.483, = 0.038), 1 month ( = 0.714, = 0.001), and 6 months postoperatively ( = 0.471, = 0.043). There was no statistically significant correlation between the preoperative conjunctival vascularization density and the eyedrop-year rate ( = 0.036, = 0.8704) or the preservative-year rate ( = 0.1444, = 0.5107).

CONCLUSIONS

Poor conjunctival vascularization was associated with lower IOP and a higher number of intraepithelial microcysts evaluated with OCT-A. OCT-A provides a simple, noninvasive, and reproducible method to analyze and quantify bleb vessels before and after filtering surgery.

TRANSLATIONAL RELEVANCE

Several studies have demonstrated that highly vascularized blebs might be associated with a higher risk of failure. OCT-A may provide a dye-free, noncontact method for monitoring conjunctival vascularization after filtering surgery.

摘要

目的

通过光学相干断层扫描血管造影(OCT - A)评估滤过性手术前后结膜血管化的变化,并将这些结果与滤过性手术的成功率相关联。

方法

我们评估了20例首次小梁切除术后患者的20个滤过泡。使用ImageJ软件对结膜血管化进行定量。根据术前结膜血管密度将眼睛分为两组:血管化不足的结膜(HypoV;10只眼)和血管化过度的结膜(HyperV;10只眼)。还分析了上皮内微囊肿的密度(0至3)。

结果

HyperV组的针刺操作明显更多,随访期间70%的眼睛接受了针刺,而HypoV组为20%(P = 0.012)。在HyperV组中,50%的眼睛术后需要使用降低眼压的眼药水,而HypoV组为10%(P = 0.029)。在术后1周(1.1对0.4,P = 0.0215)、1个月(2.2对0.4,P = 0.0003)和6个月(2.0对0.7,P = 0.0068)时,HypoV组的上皮内微囊肿明显多于HyperV组。术前结膜血管密度与术后1周(r = 0.483,P = 0.038)、1个月(r = 0.714,P = 0.001)和6个月(r = 0.471,P = 0.043)时的平均眼压之间存在统计学显著相关性。术前结膜血管化密度与眼药水使用年率(r = 0.036,P = 0.8704)或防腐剂使用年率(r = 0.1444,P = 0.5107)之间无统计学显著相关性。

结论

结膜血管化不良与较低的眼压以及用OCT - A评估的较多上皮内微囊肿相关。OCT - A提供了一种简单、无创且可重复的方法来分析和量化滤过性手术前后的滤过泡血管。

转化相关性

多项研究表明,血管化程度高的滤过泡可能与更高的失败风险相关。OCT - A可能为监测滤过性手术后的结膜血管化提供一种无染料、非接触的方法。

https://cdn.ncbi.nlm.nih.gov/pmc/blobs/07ea/6613592/00d6edd1bbf7/i2164-2591-8-4-4-f01.jpg

文献AI研究员

20分钟写一篇综述,助力文献阅读效率提升50倍。

立即体验

用中文搜PubMed

大模型驱动的PubMed中文搜索引擎

马上搜索

文档翻译

学术文献翻译模型,支持多种主流文档格式。

立即体验