Suppr超能文献

用新烟碱类杀虫剂噻虫啉对疟疾病媒按蚊进行敏感性测试;来自 16 个非洲国家的结果,为使用新杀虫剂配方进行室内滞留喷洒做准备。

Susceptibility testing of Anopheles malaria vectors with the neonicotinoid insecticide clothianidin; results from 16 African countries, in preparation for indoor residual spraying with new insecticide formulations.

机构信息

PMI VectorLink Project, Abt Associates, 6130 Executive Blvd, Rockville, MD, 20852, USA.

Institute of Health Science Research, Malaria and Tropical Neglected Research Unit, 01 BP 545, Bobo-Dioulasso, Burkina Faso.

出版信息

Malar J. 2019 Aug 1;18(1):264. doi: 10.1186/s12936-019-2888-6.

Abstract

BACKGROUND

In 2017, more than 5 million house structures were sprayed through the U.S. President's Malaria Initiative, protecting more than 21 million people in sub-Saharan Africa. New IRS formulations, SumiShield™ 50WG and Fludora Fusion™ WP-SB, became World Health Organization (WHO) prequalified vector control products in 2017 and 2018, respectively. Both formulations contain the neonicotinoid active ingredient, clothianidin. The target site of neonicotinoids represents a novel mode of action for vector control, meaning that cross-resistance through existing mechanisms is less likely. In preparation for rollout of clothianidin formulations as part of national IRS rotation strategies, baseline susceptibility testing was conducted in 16 countries in sub-Saharan Africa.

METHODS

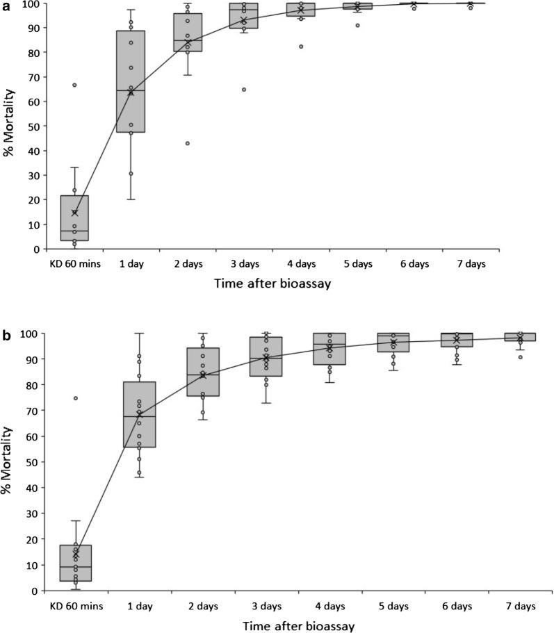
While work coordinated by the WHO is ongoing to develop a suitable bottle bioassay procedure, there was no published guidance regarding clothianidin susceptibility procedures or diagnostic concentrations. Therefore, a protocol was developed for impregnating filter papers with 2% w/v SumiShield™ 50WG dissolved in distilled water. Susceptibility tests were conducted using insectary-reared reference Anopheles and wild collected malaria vector species. All tests were conducted within 24 h of treating papers, with mortality recorded daily for 7 days, due to the slow-acting nature of clothianidin against mosquitoes. Anopheles gambiae sensu lato (s.l.) adults from wild collected larvae were tested in 14 countries, with wild collected F Anopheles funestus s.l. tested in Mozambique and Zambia.

RESULTS

One-hundred percent mortality was reached with all susceptible insectary strains and with wild An. gambiae s.l. from all sites in 11 countries. However, tests in at least one location from 5 countries produced mortality below 98%. While this could potentially be a sign of clothianidin resistance, it is more likely that the diagnostic dose or protocol requires further optimization. Repeat testing in 3 sites in Ghana and Zambia, where possible resistance was detected, subsequently produced 100% mortality. Results showed susceptibility to clothianidin in 38 of the 43 sites in sub-Saharan Africa, including malaria vectors with multiple resistance mechanisms to pyrethroids, carbamates and organophosphates.

CONCLUSIONS

This study provides an interim diagnostic dose of 2% w/v clothianidin on filter papers which can be utilized by National Malaria Control Programmes and research organizations until the WHO concludes multi-centre studies and provides further guidance.

摘要

背景

2017 年,美国“总统疟疾倡议”(President's Malaria Initiative)为超过 500 万座房屋结构进行了喷洒,为撒哈拉以南非洲地区的 2100 多万人提供了保护。新的 IRS 配方 SumiShield™ 50WG 和 Fludora Fusion™ WP-SB 分别于 2017 年和 2018 年成为世界卫生组织(WHO)预认证的病媒控制产品。这两种配方都含有新烟碱类杀虫剂活性成分噻虫啉。新烟碱类杀虫剂的靶标部位代表了病媒控制的一种新作用模式,这意味着通过现有机制产生的交叉抗性不太可能发生。为了在全国 IRS 轮换战略中推出噻虫啉配方,在撒哈拉以南非洲的 16 个国家进行了基线敏感性测试。

方法

虽然由世卫组织协调的工作正在进行,以制定合适的瓶生物测定程序,但关于噻虫啉敏感性程序或诊断浓度的指南尚未发布。因此,开发了一种在滤纸上浸渍 2%w/v SumiShield™ 50WG 溶于蒸馏水的方案。使用昆虫饲养的参考按蚊和野外采集的疟疾媒介物种进行了敏感性测试。所有测试均在处理滤纸后 24 小时内进行,由于噻虫啉对蚊子的作用缓慢,死亡率每天记录 7 天。来自野生幼虫的按蚊冈比亚亚种(s.l.)成虫在 14 个国家进行了测试,来自野生的 F 按蚊冈比亚亚种(s.l.)在莫桑比克和赞比亚进行了测试。

结果

在 11 个国家的所有敏感虫株和来自 11 个国家的所有野外采集的 An. gambiae s.l.中,死亡率达到 100%。然而,在 5 个国家的至少一个地点的测试中,死亡率低于 98%。虽然这可能是对噻虫啉抗性的迹象,但更有可能是诊断剂量或方案需要进一步优化。在加纳和赞比亚的 3 个地点进行了重复测试,在那里发现了可能的抗性,随后死亡率达到了 100%。在撒哈拉以南非洲的 43 个地点中的 38 个地点,包括对拟除虫菊酯、氨基甲酸酯和有机磷酸酯具有多种抗性机制的疟疾媒介,均显示出对噻虫啉的敏感性。

结论

本研究提供了一种临时诊断剂量的 2%w/v 噻虫啉在滤纸上,国家疟疾控制规划和研究组织可以在世界卫生组织完成多中心研究并提供进一步指导之前使用。

https://cdn.ncbi.nlm.nih.gov/pmc/blobs/b26b/6670198/ebdcd7762d85/12936_2019_2888_Fig1_HTML.jpg

文献AI研究员

20分钟写一篇综述,助力文献阅读效率提升50倍。

立即体验

用中文搜PubMed

大模型驱动的PubMed中文搜索引擎

马上搜索

文档翻译

学术文献翻译模型,支持多种主流文档格式。

立即体验