Suppr超能文献

实时细胞分析与CCK-8法对抗癌药物细胞毒性评估的比较

Comparison of Cytotoxicity Evaluation of Anticancer Drugs between Real-Time Cell Analysis and CCK-8 Method.

作者信息

Cai Ling, Qin Xijiang, Xu Zhihui, Song Yiyan, Jiang Huijun, Wu Yuan, Ruan Hongjie, Chen Jin

机构信息

School of Public Health and School of Pharmacy, Nanjing Medical University, Nanjing 211166, China.

Department of Medical Oncology, Jiangsu Cancer Hospital, Jiangsu Institute of Cancer Research, The Affiliated Cancer Hospital of Nanjing Medical University, Nanjing 210009, China.

出版信息

ACS Omega. 2019 Jul 11;4(7):12036-12042. doi: 10.1021/acsomega.9b01142. eCollection 2019 Jul 31.

Abstract

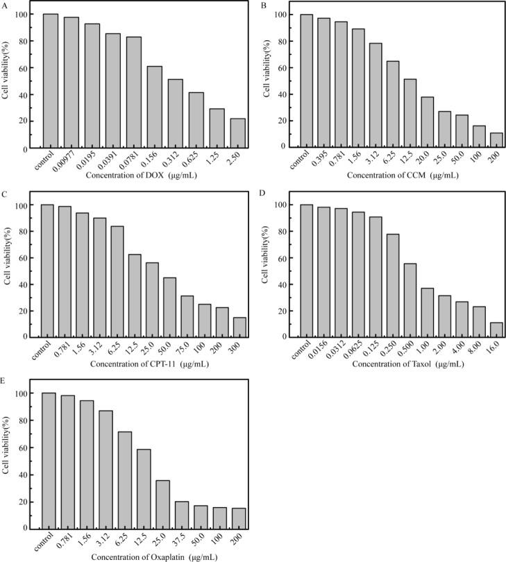
Critical cytotoxicity evaluation of pharmaceuticals is necessary for the clinical practice of chemotherapy. To quantitatively evaluate cell viability, currently there are two main types of sensitive methods including real-time cell analysis (RTCA) and CCK-8 assay, in which RTCA records electrochemical signal changes around an incubated cell, whereas CCK-8 is based on the colorimetric method. Despite the different detection principles adopted for the cytotoxicity assessment, the comparison of the two methods in terms of the application scope is lacking. In this study, comparison studies were conducted between the RTCA and CCK-8 assays using anticancer drugs including doxorubicin hydrochloride, curcumin, irinotecan (CPT-11), taxol, and oxaliplatin, which are classified into two groups of drug molecules in the absence and presence of additives. The cytotoxicity evaluation of these drugs on cancer cells revealed that the physicochemical properties of drug formulations such as optical and electrochemical properties are closely linked with the readout of cytotoxic methods. The experimental results suggested that the preselection of cytotoxic assay is critical for the quantitative measurement of cytotoxicity of anticancer drugs, which is of clinical importance for their therapeutic usage.

摘要

药物的关键细胞毒性评估对于化疗的临床实践至关重要。为了定量评估细胞活力,目前有两种主要的敏感方法,即实时细胞分析(RTCA)和CCK-8检测法,其中RTCA记录培养细胞周围的电化学信号变化,而CCK-8基于比色法。尽管在细胞毒性评估中采用了不同的检测原理,但这两种方法在应用范围方面缺乏比较。在本研究中,使用包括盐酸多柔比星、姜黄素、伊立替康(CPT-11)、紫杉醇和奥沙利铂在内的抗癌药物,在RTCA和CCK-8检测法之间进行了比较研究,这些药物在有无添加剂的情况下被分为两组药物分子。这些药物对癌细胞的细胞毒性评估表明,药物制剂的物理化学性质,如光学和电化学性质,与细胞毒性方法的读数密切相关。实验结果表明,细胞毒性检测法的预先选择对于抗癌药物细胞毒性的定量测量至关重要,这对其治疗用途具有临床意义。

https://cdn.ncbi.nlm.nih.gov/pmc/blobs/6211/6682106/5203f9357268/ao-2019-01142t_0001.jpg

文献AI研究员

20分钟写一篇综述,助力文献阅读效率提升50倍。

立即体验

用中文搜PubMed

大模型驱动的PubMed中文搜索引擎

马上搜索

文档翻译

学术文献翻译模型,支持多种主流文档格式。

立即体验