Suppr超能文献

一项利用新型虚拟跟踪工具评估降低 LDL 胆固醇的独特植物固醇酯配方的随机、安慰剂对照、双盲交叉研究。

A Randomized, Placebo-Controlled, Double-Blind Crossover Study to Assess a Unique Phytosterol Ester Formulation in Lowering LDL Cholesterol Utilizing a Novel Virtual Tracking Tool.

机构信息

Segterra (Inside Tracker), Cambridge, MA 02142, USA.

Nutrasource, Guelph, ON N1G0B4, Canada.

出版信息

Nutrients. 2019 Sep 5;11(9):2108. doi: 10.3390/nu11092108.

Abstract

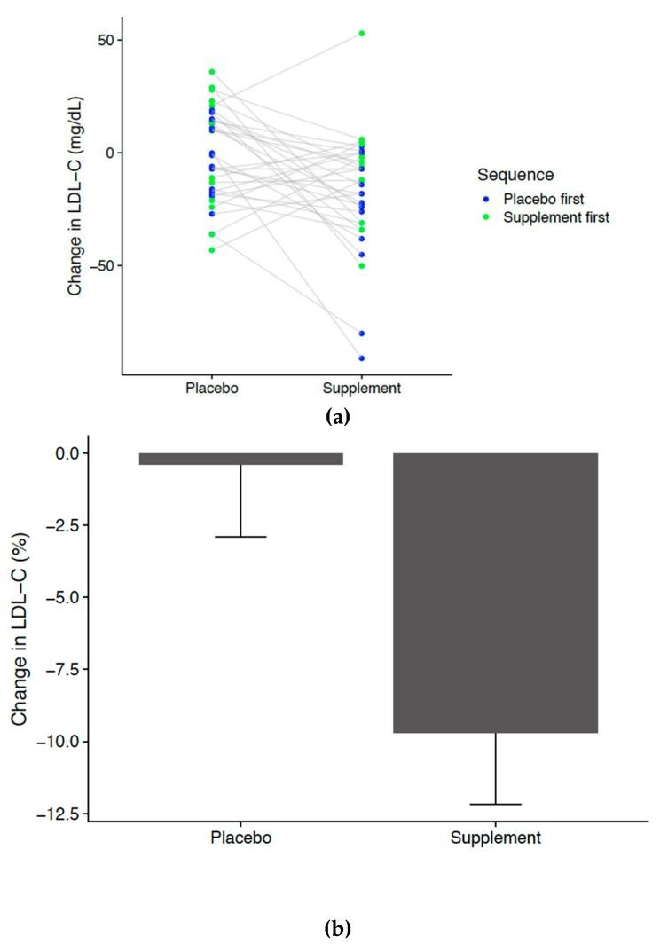
Elevated blood concentration of low-density lipoprotein cholesterol (LDLc) is a primary risk factor for developing cardiovascular disease. Lifestyle interventions including an increase in dietary phytosterols as well as medications have proven effective in lowering LDLc. The primary objective of this randomized, placebo controlled, double blind, crossover study was to determine the impact of a new phytosterol emulsion for dietary supplements (1.5 g/day phytosterol equivalents) on LDLc concentrations. Thirty-two healthy adults were randomly assigned to receive placebo or treatment followed by a washout period, followed by placebo or treatment, each phase lasting one month. Secondary endpoints related to cardiovascular health were also assessed. Study management, including screening, recruitment, monitoring, compliance, and data collection, were done remotely (a siteless clinical trial) utilizing a novel virtual tool. Phytosterol supplementation significantly lowered LDLc concentrations by 10.2% (16.17 mg/dL or 0.419 mmol/L, = 0.008 by paired -test, = 0.014 by Wilcoxon signed rank testing). No secondary biomarkers were found to change significantly. Supplementation with phytosterols in a new dietary supplement formulation efficiently and safely decreases LDLc within one month in a free-living setting.

摘要

血液中低密度脂蛋白胆固醇(LDLc)浓度升高是引发心血管疾病的主要风险因素。生活方式干预,包括增加饮食中的植物固醇以及药物治疗,已被证明可有效降低 LDLc。本项随机、安慰剂对照、双盲、交叉研究的主要目的是确定一种新型植物固醇乳剂(每天 1.5 克植物固醇当量)对 LDLc 浓度的影响。32 名健康成年人被随机分配接受安慰剂或治疗,随后进行洗脱期,再接受安慰剂或治疗,每个阶段持续一个月。还评估了与心血管健康相关的次要终点。研究管理,包括筛选、招募、监测、依从性和数据收集,均通过一种新颖的虚拟工具远程进行(无现场临床试验)。植物固醇补充剂可显著降低 LDLc 浓度 10.2%(16.17mg/dL 或 0.419mmol/L,配对 t 检验=0.008,Wilcoxon 符号秩检验=0.014)。未发现其他次要生物标志物有显著变化。在自由生活环境中,新型膳食补充剂配方中的植物固醇补充剂可在一个月内有效且安全地降低 LDLc。

https://cdn.ncbi.nlm.nih.gov/pmc/blobs/7b1e/6769481/1f676352ff5d/nutrients-11-02108-g001.jpg

文献AI研究员

20分钟写一篇综述,助力文献阅读效率提升50倍。

立即体验

用中文搜PubMed

大模型驱动的PubMed中文搜索引擎

马上搜索

文档翻译

学术文献翻译模型,支持多种主流文档格式。

立即体验