Suppr超能文献

孤立性肺结节:对代谢活性评估的形态学影响

Solitary Pulmonary Nodule: Morphological Effects on Metabolic Activity Assessment.

作者信息

Erdoğan Mehmet, Evrimler Şehnaz, Aydın Hüseyin, Karaibrahimoğlu Adnan, Şengül Sevim Süreyya

机构信息

Süleyman Demirel University Faculty of Medicine, Department of Nuclear Medicine, Isparta, Turkey

Süleyman Demirel University Faculty of Medicine, Department of Radiology, Isparta, Turkey

出版信息

Mol Imaging Radionucl Ther. 2019 Sep 6;28(3):112-119. doi: 10.4274/mirt.galenos.2019.65707.

Abstract

OBJECTIVES

We aimed to evaluate the effects of morphological characteristics of the solitary pulmonary nodules (SPN) on metabolic activity assessment. To the best of our knowledge, this is the first study to compare the volumetric metabolic activity parameters according to the morphologic parameters of the nodules.

METHODS

In this retrospective study, F-FDG positron emission tomography and computed tomography scans performed between 2011 and 2018 were evaluated by a nuclear and diagnostic radiologist. One hundred thirteen patients with SPNs with biopsy-proven diagnosis were included. SPNs were classified as solid, partially solid (PS), and ground glass opacity (GGO).

RESULTS

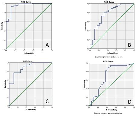
SPN diameter, SUV, metabolic tumor volume (MTV), total lesion glycolysis (TLG), and density were significantly higher in the malignant group. SUV, MTV, TLG increased in direct proportion to the diameter. There was no a significant difference between GGO, PS, and solid nodules in terms of SUV values. MTV and TLG values increased in parallel with the density of the nodules, but this increase was only significant in the malignant group. There was a significant difference between SPNs <2 cm and SPNs ≥2 cm in terms of MTV, while there was no difference in terms of SUV. The cut-off value determined by the ROC curve was found to be 4.39 for SUV, 7.33 mL for MTV and 31.88 g for TLG. The cut-off values for SUV of solid and subsolid nodules were close to each other, but cut-off values for MTV and TLG were higher in solid nodules.

CONCLUSION

SUV, MTV, and TLG are affected by diameter and attenuation. We suggest using different MTV and TLG cut-off values for solid and subsolid nodules, but we suggest using same SUV values. MTV can be a more reliable parameter than SUV in prediction of malignancy in smaller nodules.

摘要

目的

我们旨在评估孤立性肺结节(SPN)的形态特征对代谢活性评估的影响。据我们所知,这是第一项根据结节的形态学参数比较体积代谢活性参数的研究。

方法

在这项回顾性研究中,由核医学和诊断放射科医生对2011年至2018年间进行的F-FDG正电子发射断层扫描和计算机断层扫描进行评估。纳入113例经活检证实诊断的SPN患者。SPN分为实性、部分实性(PS)和磨玻璃密度影(GGO)。

结果

恶性组的SPN直径、SUV、代谢肿瘤体积(MTV)、总病灶糖酵解(TLG)和密度显著更高。SUV、MTV、TLG与直径成正比增加。GGO、PS和实性结节的SUV值之间无显著差异。MTV和TLG值随结节密度平行增加,但这种增加仅在恶性组中显著。<2 cm的SPN和≥2 cm的SPN在MTV方面存在显著差异,而在SUV方面无差异。ROC曲线确定的SUV截断值为4.39,MTV为7.33 mL,TLG为31.88 g。实性和亚实性结节的SUV截断值彼此接近,但实性结节的MTV和TLG截断值更高。

结论

SUV、MTV和TLG受直径和衰减的影响。我们建议对实性和亚实性结节使用不同的MTV和TLG截断值,但建议使用相同的SUV值。在预测较小结节的恶性程度方面,MTV可能是比SUV更可靠的参数。

https://cdn.ncbi.nlm.nih.gov/pmc/blobs/5023/6746010/35c6ce8ddef3/MIRT-28-112-g1.jpg

文献AI研究员

20分钟写一篇综述,助力文献阅读效率提升50倍。

立即体验

用中文搜PubMed

大模型驱动的PubMed中文搜索引擎

马上搜索

文档翻译

学术文献翻译模型,支持多种主流文档格式。

立即体验