Suppr超能文献

强度调制分割放疗与立体定向体部放疗治疗前列腺癌(PACE-B):一项国际、随机、开放标签、3 期、非劣效性试验的急性毒性研究结果。

Intensity-modulated fractionated radiotherapy versus stereotactic body radiotherapy for prostate cancer (PACE-B): acute toxicity findings from an international, randomised, open-label, phase 3, non-inferiority trial.

机构信息

The Royal Marsden Hospital, London, UK; The Institute of Cancer Research, London, UK.

Mount Vernon Cancer Centre, Northwood, UK.

出版信息

Lancet Oncol. 2019 Nov;20(11):1531-1543. doi: 10.1016/S1470-2045(19)30569-8. Epub 2019 Sep 17.

Abstract

BACKGROUND

Localised prostate cancer is commonly treated with external-beam radiotherapy. Moderate hypofractionation has been shown to be non-inferior to conventional fractionation. Ultra-hypofractionated stereotactic body radiotherapy would allow shorter treatment courses but could increase acute toxicity compared with conventionally fractionated or moderately hypofractionated radiotherapy. We report the acute toxicity findings from a randomised trial of standard-of-care conventionally fractionated or moderately hypofractionated radiotherapy versus five-fraction stereotactic body radiotherapy for low-risk to intermediate-risk localised prostate cancer.

METHODS

PACE is an international, phase 3, open-label, randomised, non-inferiority trial. In PACE-B, eligible men aged 18 years and older, with WHO performance status 0-2, low-risk or intermediate-risk prostate adenocarcinoma (Gleason 4 + 3 excluded), and scheduled to receive radiotherapy were recruited from 37 centres in three countries (UK, Ireland, and Canada). Participants were randomly allocated (1:1) by computerised central randomisation with permuted blocks (size four and six), stratified by centre and risk group, to conventionally fractionated or moderately hypofractionated radiotherapy (78 Gy in 39 fractions over 7·8 weeks or 62 Gy in 20 fractions over 4 weeks, respectively) or stereotactic body radiotherapy (36·25 Gy in five fractions over 1-2 weeks). Neither participants nor investigators were masked to allocation. Androgen deprivation was not permitted. The primary endpoint of PACE-B is freedom from biochemical or clinical failure. The coprimary outcomes for this acute toxicity substudy were worst grade 2 or more severe Radiation Therapy Oncology Group (RTOG) gastrointestinal or genitourinary toxic effects score up to 12 weeks after radiotherapy. Analysis was per protocol. This study is registered with ClinicalTrials.gov, NCT01584258. PACE-B recruitment is complete and follow-up is ongoing.

FINDINGS

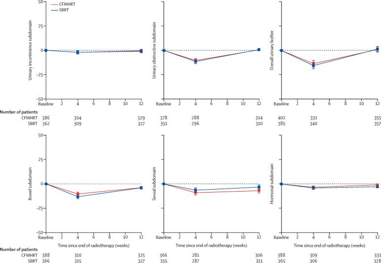
Between Aug 7, 2012, and Jan 4, 2018, we randomly assigned 874 men to conventionally fractionated or moderately hypofractionated radiotherapy (n=441) or stereotactic body radiotherapy (n=433). 432 (98%) of 441 patients allocated to conventionally fractionated or moderately hypofractionated radiotherapy and 415 (96%) of 433 patients allocated to stereotactic body radiotherapy received at least one fraction of allocated treatment. Worst acute RTOG gastrointestinal toxic effect proportions were as follows: grade 2 or more severe toxic events in 53 (12%) of 432 patients in the conventionally fractionated or moderately hypofractionated radiotherapy group versus 43 (10%) of 415 patients in the stereotactic body radiotherapy group (difference -1·9 percentage points, 95% CI -6·2 to 2·4; p=0·38). Worst acute RTOG genitourinary toxicity proportions were as follows: grade 2 or worse toxicity in 118 (27%) of 432 patients in the conventionally fractionated or moderately hypofractionated radiotherapy group versus 96 (23%) of 415 patients in the stereotactic body radiotherapy group (difference -4·2 percentage points, 95% CI -10·0 to 1·7; p=0·16). No treatment-related deaths occurred.

INTERPRETATION

Previous evidence (from the HYPO-RT-PC trial) suggested higher patient-reported toxicity with ultrahypofractionation. By contrast, our results suggest that substantially shortening treatment courses with stereotactic body radiotherapy does not increase either gastrointestinal or genitourinary acute toxicity.

FUNDING

Accuray and National Institute of Health Research.

摘要

背景

局部前列腺癌通常采用外照射放疗治疗。中低分割放疗已被证明不劣于常规分割。超分割立体定向体部放疗可缩短治疗疗程,但与常规分割或中低分割放疗相比,可能会增加急性毒性。我们报告了一项随机临床试验的急性毒性结果,该试验比较了标准护理常规分割或中低分割放疗与五次立体定向体部放疗治疗低危至中危局限性前列腺癌的疗效。

方法

PACE 是一项国际、三期、开放标签、随机、非劣效性试验。在 PACE-B 中,符合条件的年龄在 18 岁及以上、WHO 表现状态 0-2 级、低危或中危前列腺腺癌(排除 Gleason 4+3)、计划接受放疗的患者从三个国家(英国、爱尔兰和加拿大)的 37 个中心招募。参与者通过中央计算机化随机分配(大小为 4 和 6),按中心和风险组分层,随机分配到常规分割或中低分割放疗(78 Gy 分 39 次,7.8 周;62 Gy 分 20 次,4 周)或立体定向体部放疗(36.25 Gy 分 5 次,1-2 周)。参与者和研究者均未对分配情况进行盲法。不允许进行雄激素剥夺。PACE-B 的主要终点是无生化或临床失败。本急性毒性子研究的主要次要终点是治疗后 12 周内最差 2 级或更严重的放射治疗肿瘤学组(RTOG)胃肠道或泌尿生殖系统毒性效应评分。分析采用方案。这项研究在 ClinicalTrials.gov 上注册,NCT01584258。PACE-B 的招募工作已经完成,随访工作正在进行中。

结果

2012 年 8 月 7 日至 2018 年 1 月 4 日,我们随机分配 874 名患者接受常规分割或中低分割放疗(n=441)或立体定向体部放疗(n=433)。441 名患者中,432 名(98%)接受了常规分割或中低分割放疗,433 名患者中,415 名(96%)接受了立体定向体部放疗。至少接受了一次治疗的分配治疗。以下是最差的急性 RTOG 胃肠道毒性比例:432 名患者中有 53 名(12%)发生 2 级或更严重的毒性事件,415 名患者中有 43 名(10%)发生在立体定向体部放疗组(差异-1.9%,95%CI-6.2 至 2.4;p=0.38)。432 名患者中有 118 名(27%)发生 2 级或更严重的 RTOG 泌尿生殖系统毒性,415 名患者中有 96 名(23%)发生在立体定向体部放疗组(差异-4.2%,95%CI-10.0 至 1.7;p=0.16)。没有与治疗相关的死亡。

解释

之前的证据(来自 HYPO-RT-PC 试验)表明,超分割会导致更高的患者报告毒性。相比之下,我们的结果表明,用立体定向体部放疗显著缩短治疗疗程不会增加胃肠道或泌尿生殖系统的急性毒性。

资金

Accuray 和英国国家卫生研究院。

https://cdn.ncbi.nlm.nih.gov/pmc/blobs/118c/6838670/d631d41e109e/gr1.jpg

文献AI研究员

20分钟写一篇综述,助力文献阅读效率提升50倍。

立即体验

用中文搜PubMed

大模型驱动的PubMed中文搜索引擎

马上搜索

文档翻译

学术文献翻译模型,支持多种主流文档格式。

立即体验