Suppr超能文献

猪胚胎附着起始时子宫内膜基因表达的空间组织。

Spatial organization of endometrial gene expression at the onset of embryo attachment in pigs.

机构信息

Genetics and Functional Genomics, Clinic of Reproductive Medicine, Department for Farm Animals, Vetsuisse Faculty, University of Zurich, Eschikon 27 AgroVet-Strickhof, Zurich, Switzerland.

Animal Physiology, Institute of Agricultural Sciences, ETH Zurich, Lindau, ZH, 8315, Switzerland.

出版信息

BMC Genomics. 2019 Nov 21;20(1):895. doi: 10.1186/s12864-019-6264-2.

Abstract

BACKGROUND

During the preimplantation phase in the pig, the conceptus trophoblast elongates into a filamentous form and secretes estrogens, interleukin 1 beta 2, interferons, and other signaling molecules before attaching to the uterine epithelium. The processes in the uterine endometrium in response to conceptus signaling are complex. Thus, the objective of this study was to characterize transcriptome changes in porcine endometrium during the time of conceptus attachment considering the specific localization in different endometrial cell types.

RESULTS

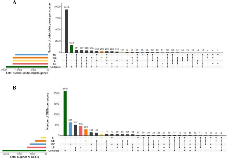
Low-input RNA-sequencing was conducted for the main endometrial compartments, luminal epithelium (LE), glandular epithelium (GE), blood vessels (BV), and stroma. Samples were isolated from endometria collected on Day 14 of pregnancy and the estrous cycle (each group n = 4) by laser capture microdissection. The expression of 12,000, 11,903, 11,094, and 11,933 genes was detectable in LE, GE, BV, and stroma, respectively. Differential expression analysis was performed between the pregnant and cyclic group for each cell type as well as for a corresponding dataset for complete endometrium tissue samples. The highest number of differentially expressed genes (DEGs) was found for LE (1410) compared to GE, BV, and stroma (800, 1216, and 384). For the complete tissue, 3262 DEGs were obtained. The DEGs were assigned to Gene Ontology (GO) terms to find overrepresented functional categories and pathways specific for the individual endometrial compartments. GO classification revealed that DEGs in LE were involved in 'biosynthetic processes', 'related to ion transport', and 'apoptotic processes', whereas 'cell migration', 'cell growth', 'signaling', and 'metabolic/biosynthetic processes' categories were enriched for GE. For blood vessels, categories such as 'focal adhesion', 'actin cytoskeleton', 'cell junction', 'cell differentiation and development' were found as overrepresented, while for stromal samples, most DEGs were assigned to 'extracellular matrix', 'gap junction', and 'ER to Golgi vesicles'.

CONCLUSIONS

The localization of differential gene expression to different endometrial cell types provided a significantly improved view on the regulation of biological processes involved in conceptus implantation, such as the control of uterine fluid secretion, trophoblast attachment, growth regulation by Wnt signaling and other signaling pathways, as well as the modulation of the maternal immune system.

摘要

背景

在猪的植入前阶段,胚胎滋养层伸长成丝状,并在附着到子宫上皮之前分泌雌激素、白细胞介素 1β2、干扰素和其他信号分子。子宫内膜对胚胎信号的反应过程很复杂。因此,本研究的目的是描述在考虑到不同子宫内膜细胞类型的特定定位的情况下,胚胎附着时猪子宫内膜转录组变化。

结果

采用低输入 RNA 测序对主要的子宫内膜区室,即腔上皮 (LE)、腺上皮 (GE)、血管 (BV) 和基质进行了分析。通过激光捕获显微切割,从妊娠第 14 天和发情周期的子宫内膜中分离出样本(每组 n=4)。在 LE、GE、BV 和基质中分别检测到 12000、11903、11094 和 11933 个基因的表达。对每个细胞类型的妊娠和循环组以及完整子宫内膜组织样本的相应数据集进行了差异表达分析。与 GE、BV 和基质相比,LE 中差异表达基因 (DEG) 的数量最多(1410 个),而 GE、BV 和基质分别为 800、1216 和 384 个。对于完整的组织,获得了 3262 个 DEG。将 DEG 分配到基因本体论 (GO) 术语中,以找到特定于单个子宫内膜区室的功能类别和途径的代表性功能类别和途径。GO 分类表明,LE 中的 DEG 参与了“生物合成过程”、“与离子运输相关”和“凋亡过程”,而“细胞迁移”、“细胞生长”、“信号转导”和“代谢/生物合成过程”则是 GE 中丰富的类别。对于血管,发现“焦点黏附”、“肌动蛋白细胞骨架”、“细胞连接”、“细胞分化和发育”等类别是过度表达的,而对于基质样本,大多数 DEG 被分配到“细胞外基质”、“间隙连接”和“内质网到高尔基体小泡”。

结论

将差异基因表达定位于不同的子宫内膜细胞类型,为控制胚胎植入过程中涉及的生物学过程提供了一个显著改善的视角,如子宫液分泌的控制、滋养层附着、Wnt 信号等其他信号通路的生长调控以及母体免疫系统的调节。

https://cdn.ncbi.nlm.nih.gov/pmc/blobs/2b81/6873571/7b2eed1fb053/12864_2019_6264_Fig1_HTML.jpg

文献AI研究员

20分钟写一篇综述,助力文献阅读效率提升50倍。

立即体验

用中文搜PubMed

大模型驱动的PubMed中文搜索引擎

马上搜索

文档翻译

学术文献翻译模型,支持多种主流文档格式。

立即体验