Suppr超能文献

BODIPY-PF-543 的合成与生物学评价。

Synthesis and Biological Evaluation of BODIPY-PF-543.

机构信息

College of Pharmacy, Mokpo National University, Jeonnam 58554, Korea.

Department of Chemistry, Kyungpook National University, Daegu 41566, Korea.

出版信息

Molecules. 2019 Dec 2;24(23):4408. doi: 10.3390/molecules24234408.

Abstract

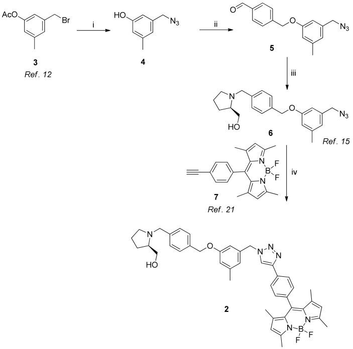
Sphingosine-1-phosphate (S1P) regulates the proliferation of various cells and promotes the growth of cancer cells. Sphingosine kinase (SK), which transforms sphingosine into S1P, has two isotypes: SK1 and SK2. To date, both isotypes are known to be involved in the proliferation of cancer cells. PF-543, an SK1 inhibitor developed by Pfizer, strongly inhibits SK1. However, despite its strong SK1 inhibitory effect, PF-543 shows low anticancer activity in vitro. Therefore, additional biological evidence on the anticancer activity of SK1 inhibitor is required. The present study aimed to investigate the intracellular localization of PF-543 and identify its association with anticancer activity by introducing a fluoroprobe into PF-543. Boron-dipyrromethene (BODIPY)-introduced PF-543 has a similar SK1 inhibitory effect as PF-543. These results indicate that the introduction of BODIPY does not significantly affect the inhibitory effect of SK1. In confocal microscopy after BODIPY-PF-543 treatment, the compound was mainly located in the cytosol of the cells. This study demonstrated the possibility of introducing fluorescent material into an SK inhibitor and designing a synthesized compound that is permeable to cells while maintaining the SK inhibitory effect.

摘要

鞘氨醇-1-磷酸(S1P)调节各种细胞的增殖,并促进癌细胞的生长。将鞘氨醇转化为 S1P 的鞘氨醇激酶(SK)有两种同工型:SK1 和 SK2。迄今为止,这两种同工型都被认为与癌细胞的增殖有关。辉瑞公司开发的 SK1 抑制剂 PF-543 强烈抑制 SK1。然而,尽管 PF-543 对 SK1 具有很强的抑制作用,但在体外显示出低的抗癌活性。因此,需要更多关于 SK1 抑制剂抗癌活性的生物学证据。本研究旨在通过将荧光探针引入 PF-543 来研究 PF-543 的细胞内定位,并确定其与抗癌活性的关系。引入硼二吡咯甲川(BODIPY)的 PF-543 与 PF-543 具有相似的 SK1 抑制作用。这些结果表明,BODIPY 的引入对 SK1 的抑制作用没有显著影响。在 BODIPY-PF-543 处理后的共聚焦显微镜下,该化合物主要位于细胞的细胞质中。本研究证明了将荧光材料引入 SK 抑制剂并设计一种既能保持 SK 抑制作用又能穿透细胞的合成化合物的可能性。

https://cdn.ncbi.nlm.nih.gov/pmc/blobs/9b25/6930633/07b781e96108/molecules-24-04408-g001.jpg

文献AI研究员

20分钟写一篇综述,助力文献阅读效率提升50倍。

立即体验

用中文搜PubMed

大模型驱动的PubMed中文搜索引擎

马上搜索

文档翻译

学术文献翻译模型,支持多种主流文档格式。

立即体验