Suppr超能文献

利用工程菌生产四甲基吡嗪 。 (原文似乎不完整)

Production of tetra-methylpyrazine using engineered .

作者信息

Eng Thomas, Sasaki Yusuke, Herbert Robin A, Lau Andrew, Trinh Jessica, Chen Yan, Mirsiaghi Mona, Petzold Christopher J, Mukhopadhyay Aindrila

机构信息

Joint BioEnergy Institute, Emeryville, CA, USA.

Biological Systems and Engineering Division, Lawrence Berkeley National Laboratory, Berkeley, CA, USA.

出版信息

Metab Eng Commun. 2019 Dec 2;10:e00115. doi: 10.1016/j.mec.2019.e00115. eCollection 2020 Jun.

Abstract

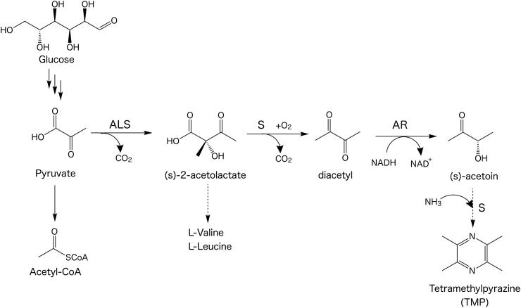
ATCC 13032 is an established and industrially-relevant microbial host that has been utilized for the expression of many desirable bioproducts. Tetra-methylpyrazine (TMP) is a naturally occurring alkylpyrazine with broad applications spanning fragrances to resins. We identified an engineered strain of which produces 5 ​g/L TMP and separately, a strain which can co-produce both TMP and the biofuel compound isopentenol. Ionic liquids also stimulate TMP production in engineered strains. Using a fed batch-mode feeding strategy, ionic liquid stimulated strains produced 2.2 ​g/L of tetra-methylpyrazine. We show that feedback from a specific heterologous gene pathway on host physiology leads to acetoin accumulation and the production of TMP.

摘要

美国典型培养物保藏中心13032是一种成熟且与工业相关的微生物宿主,已被用于表达许多理想的生物产品。四甲基吡嗪(TMP)是一种天然存在的烷基吡嗪,具有从香料到树脂的广泛应用。我们鉴定出一种工程菌株,其能产生5克/升的TMP,另外还鉴定出一种能同时共生产TMP和生物燃料化合物异戊烯醇的菌株。离子液体也能刺激工程菌株中TMP的产生。采用补料分批模式补料策略,离子液体刺激的菌株产生了2.2克/升的四甲基吡嗪。我们表明,特定异源基因途径对宿主生理学的反馈会导致乙偶姻积累和TMP的产生。

https://cdn.ncbi.nlm.nih.gov/pmc/blobs/faf6/6926172/d29af8f72fd4/gr1.jpg

文献AI研究员

20分钟写一篇综述,助力文献阅读效率提升50倍。

立即体验

用中文搜PubMed

大模型驱动的PubMed中文搜索引擎

马上搜索

文档翻译

学术文献翻译模型,支持多种主流文档格式。

立即体验