Suppr超能文献

香豆素衍生物的不同起始原料合成研究进展。

Recent Advances in the Synthesis of Coumarin Derivatives from Different Starting Materials.

机构信息

Josip Juraj Strossmayer University, Faculty of Food Faculty Osijek, 31000 Osijek, Croatia.

出版信息

Biomolecules. 2020 Jan 16;10(1):151. doi: 10.3390/biom10010151.

Abstract

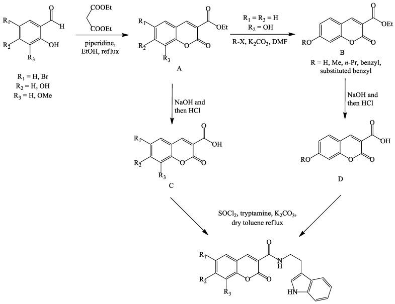
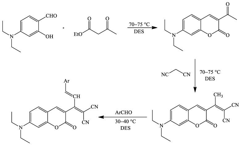
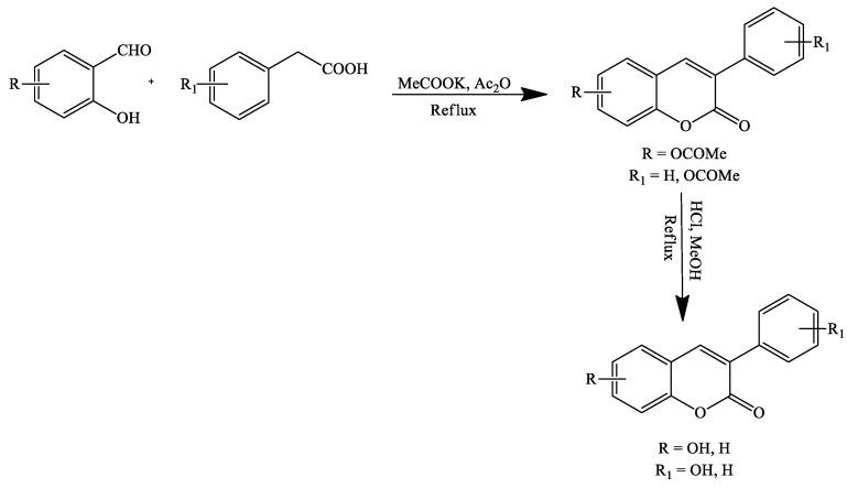
The study of coumarin dates back to 1820 when coumarin was first extracted from tonka bean by Vogel. Compounds containing coumarin backbone are a very important group of compounds due to their usage in pharmacy and medicine. Properties and biological activities of coumarin derivatives have a significant role in the development of new drugs. Therefore, many different methods and techniques are developed in order to synthesize coumarin derivatives. Coumarin derivatives could be obtained from different starting materials with various methods but with big differences in yield. This review summarized various methods, techniques and reaction conditions for synthesis of coumarins from different compounds such as aldehydes, phenols, ketones and carboxylic acids.

摘要

香豆素的研究可以追溯到 1820 年,当时 Vogel 首次从香豆素中提取出来。由于香豆素在药学和医学中的应用,含有香豆素骨架的化合物是一类非常重要的化合物。香豆素衍生物的性质和生物活性在新药的开发中起着重要的作用。因此,为了合成香豆素衍生物,已经开发出了许多不同的方法和技术。香豆素衍生物可以从不同的起始原料用不同的方法获得,但产率有很大的差异。本综述总结了从醛、酚、酮和羧酸等不同化合物合成香豆素的各种方法、技术和反应条件。

https://cdn.ncbi.nlm.nih.gov/pmc/blobs/a2c3/7022947/82cf8ae4adee/biomolecules-10-00151-g001.jpg

文献AI研究员

20分钟写一篇综述,助力文献阅读效率提升50倍。

立即体验

用中文搜PubMed

大模型驱动的PubMed中文搜索引擎

马上搜索

文档翻译

学术文献翻译模型,支持多种主流文档格式。

立即体验