Suppr超能文献

采用肥胖患病率数据说明灵活的年龄-时期-队列模型。

Flexible age-period-cohort modelling illustrated using obesity prevalence data.

机构信息

The University of Queensland, School of Public Health, Brisbane, Queensland, Australia.

出版信息

BMC Med Res Methodol. 2020 Jan 28;20(1):16. doi: 10.1186/s12874-020-0904-8.

Abstract

BACKGROUND

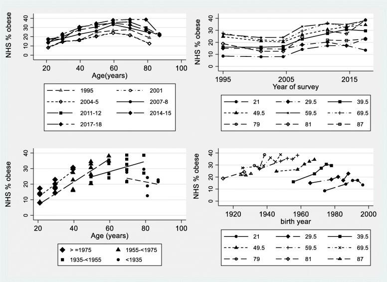
Use of generalized linear models with continuous, non-linear functions for age, period and cohort makes it possible to estimate these effects so they are interpretable, reliable and easily displayed graphically. To demonstrate the methods we use data on the prevalence of obesity among Australian women from two independent data sources obtained using different study designs.

METHODS

We used data from two long-running nationally representative studies: seven cross-sectional Australian National Health Surveys conducted between 1995 and 2017-18, each involving 6000-8000 women; and the Australian Longitudinal Study on Women's Health which started in 1996 and involves more than 57,000 women in four age cohorts who are re-surveyed at three-yearly intervals or annually. Age-period-cohort analysis was conducted using generalized linear models with splines to describe non-linear continuous effects.

RESULTS

When analysed in the same way both data sets showed similar patterns. Prevalence of obesity increased with age until late middle age and then declined; increased only slightly across surveys; but increased steadily with birth year until the 1960s and then accelerated.

CONCLUSIONS

The methods illustrated here make the estimation and visualisation of age, period and cohort effects accessible and interpretable. Regardless of how the data are collected (from repeated cross-sectional surveys or longitudinal cohort studies), it is clear that younger generations of Australian women are becoming heavier at younger ages. Analyses of trends in obesity should include cohort, in addition to age and period, effects in order to focus preventive strategies appropriately.

摘要

背景

使用具有连续、非线性函数的广义线性模型来估计年龄、时期和队列效应,可以使这些效应具有可解释性、可靠性和易于图形化显示。为了演示这些方法,我们使用了来自两个独立数据源的数据,这些数据是使用不同的研究设计获得的澳大利亚女性肥胖患病率的数据。

方法

我们使用了两项长期的全国代表性研究的数据:1995 年至 2017-18 年期间进行的七项澳大利亚国家健康调查,每项调查涉及 6000-8000 名女性;以及始于 1996 年的澳大利亚妇女健康纵向研究,涉及四个年龄队列的 57000 多名女性,每隔三年或每年进行一次重新调查。使用广义线性模型和样条函数来描述非线性连续效应进行年龄-时期-队列分析。

结果

以相同的方式分析两个数据集时,均显示出相似的模式。肥胖患病率随年龄增长直到中年后期,然后下降;在调查中仅略有增加;但随着出生年份稳步增加,直到 20 世纪 60 年代,然后加速增加。

结论

此处说明的方法使年龄、时期和队列效应的估计和可视化变得易于理解。无论数据是如何收集的(来自重复的横断面调查或纵向队列研究),很明显,澳大利亚年轻一代的女性在更年轻时体重越来越重。肥胖趋势分析应包括队列效应,除了年龄和时期效应之外,以便适当地将预防策略重点放在队列效应上。

https://cdn.ncbi.nlm.nih.gov/pmc/blobs/ed58/6988212/f3c82d487a2c/12874_2020_904_Fig1_HTML.jpg

文献AI研究员

20分钟写一篇综述,助力文献阅读效率提升50倍。

立即体验

用中文搜PubMed

大模型驱动的PubMed中文搜索引擎

马上搜索

文档翻译

学术文献翻译模型,支持多种主流文档格式。

立即体验