Suppr超能文献

通过可控氧化还原反应设计多功能二氧化钛基光催化剂

Design of Multifunctional Titania-Based Photocatalysts by Controlled Redox Reactions.

作者信息

Lopes Diogo, Daniel-da-Silva Ana Luísa, Sarabando Artur R, Arias-Serrano Blanca I, Rodríguez-Aguado Elena, Rodríguez-Castellón Enrique, Trindade Tito, Frade Jorge R, Kovalevsky Andrei V

机构信息

CICECO-Aveiro Institute of Materials, Department of Materials and Ceramic Engineering, University of Aveiro, 3810-193 Aveiro, Portugal.

CICECO-Aveiro Institute of Materials, Department of Chemistry, University of Aveiro, 3810-193 Aveiro, Portugal.

出版信息

Materials (Basel). 2020 Feb 7;13(3):758. doi: 10.3390/ma13030758.

Abstract

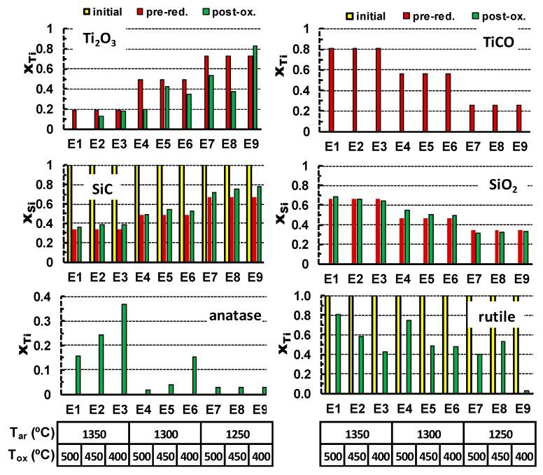
This work aims at the preparation of multifunctional titania-based photocatalysts with inherent capabilities for thermal co-activation and stabilisation of anatase polymorph, by designing the phase composition and microstructure of rutile-silicon carbide mixture. The processing involved a conventional solid state route, including partial pre-reduction of rutile by SiC in inert Ar atmosphere, followed by post-oxidation in air. The impacts of processing conditions on the phase composition and photocatalytic activity were evaluated using Taguchi planning. The XRD studies confirmed the presence of rutile/anatase mixtures in the post-oxidised samples. The results emphasise that pre-reduction and post-oxidation temperatures are critical in defining the phase composition, while post-oxidation time is relevant for the photocatalytic performance. Microstructural studies revealed the formation of core-shell particles, which can suppress the photocatalytic activity. The highest apparent reaction rate of the photodegradation of methylene blue was observed for the sample pre-reduced in Ar at 1300 °C for 5 h and then calcined in air at 400 °C for 25 h. Though its performance was ~1.6-times lower than that for the same amount of nanostructured industrial P25 photocatalyst, it was achieved in the material possessing 2-3 times lower surface area and containing ~50 mol% of SiO and SiC, thus demonstrating excellent prospects for further improvements.

摘要

这项工作旨在通过设计金红石 - 碳化硅混合物的相组成和微观结构,制备具有热共激活和锐钛矿多晶型稳定固有能力的多功能二氧化钛基光催化剂。该工艺采用传统的固态路线,包括在惰性氩气氛中用碳化硅对金红石进行部分预还原,然后在空气中进行后氧化。使用田口规划评估了加工条件对相组成和光催化活性的影响。X射线衍射研究证实了后氧化样品中存在金红石/锐钛矿混合物。结果强调,预还原温度和后氧化温度对确定相组成至关重要,而后氧化时间与光催化性能相关。微观结构研究揭示了核壳颗粒的形成,这会抑制光催化活性。对于在1300℃的氩气中预还原5小时,然后在400℃的空气中煅烧25小时的样品,观察到亚甲基蓝光降解的最高表观反应速率。尽管其性能比相同量的纳米结构工业P25光催化剂低约1.6倍,但在表面积低2 - 3倍且含有约50摩尔%的SiO和SiC的材料中实现了该性能,因此展示了进一步改进的优异前景。

https://cdn.ncbi.nlm.nih.gov/pmc/blobs/4362/7040659/b91be5726767/materials-13-00758-g001.jpg

文献AI研究员

20分钟写一篇综述,助力文献阅读效率提升50倍。

立即体验

用中文搜PubMed

大模型驱动的PubMed中文搜索引擎

马上搜索

文档翻译

学术文献翻译模型,支持多种主流文档格式。

立即体验