Suppr超能文献

惠氏: 与 共培养的独特支架的特征描述。

Wheldone: Characterization of a Unique Scaffold from the Coculture of and .

机构信息

Department of Chemistry and Biochemistry, University of North Carolina at Greensboro, Greensboro, North Carolina 27402, United States.

Mycosynthetix, Inc., Hillsborough, North Carolina 27278, United States.

出版信息

Org Lett. 2020 Mar 6;22(5):1878-1882. doi: 10.1021/acs.orglett.0c00219. Epub 2020 Feb 25.

Abstract

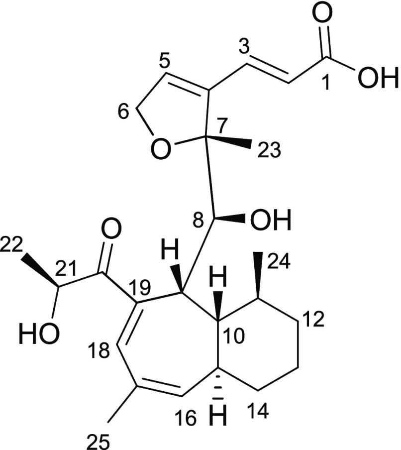
Wheldone () was isolated and elucidated from a coculture of (NRRL 181) and (G536), where secondary metabolite biosynthesis was stimulated by antagonism between these fungi. First observed via analysis between these competing fungal cultures, the conditions were scaled to reproducibly generate , whose novel structure was elucidated by one- and two-dimensional NMR and mass spectrometry. Compound displayed cytotoxic activity against breast, ovarian, and melanoma cancer cell lines.

摘要

Wheldone () 从 (NRRL 181) 和 (G536) 的共培养物中分离并阐明,其中两种真菌的拮抗作用刺激了次生代谢产物的生物合成。最初通过对这些竞争真菌培养物的分析观察到,然后将条件扩大以重复生成 ,其新颖结构通过一维和二维 NMR 以及质谱法阐明。化合物 对乳腺癌、卵巢癌和黑色素瘤癌细胞系表现出细胞毒性活性。

https://cdn.ncbi.nlm.nih.gov/pmc/blobs/5491/7153779/47945f92d5e9/ol0c00219_0001.jpg

文献AI研究员

20分钟写一篇综述,助力文献阅读效率提升50倍。

立即体验

用中文搜PubMed

大模型驱动的PubMed中文搜索引擎

马上搜索

文档翻译

学术文献翻译模型,支持多种主流文档格式。

立即体验