Suppr超能文献

2010 至 2014 年加拿大确认文化的侵袭性脑膜炎奈瑟菌病:B 群菌株的特征及 4CMenB 疫苗的预测覆盖范围

Culture-Confirmed Invasive Meningococcal Disease in Canada, 2010 to 2014: Characterization of Serogroup B Strains and Their Predicted Coverage by the 4CMenB Vaccine.

机构信息

Vaccine Preventable Bacterial Diseases, National Microbiology Laboratory, Public Health Agency of Canada, Winnipeg, Manitoba, Canada

Vaccine Preventable Bacterial Diseases, National Microbiology Laboratory, Public Health Agency of Canada, Winnipeg, Manitoba, Canada.

出版信息

mSphere. 2020 Mar 4;5(2):e00883-19. doi: 10.1128/mSphere.00883-19.

Abstract

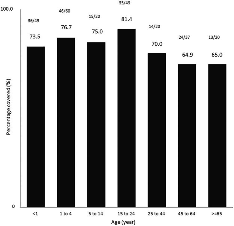
The molecular epidemiology of culture-confirmed invasive meningococcal disease (IMD) in Canada from 2010 to 2014 was studied with an emphasis on serogroup B (MenB) isolates, including their predicted coverage by the 4CMenB vaccine. The mean annual incidence rates of culture confirmed IMD varied from 0.19/100,000 in Ontario to 0.50/100,000 in New Brunswick and 0.59/100,000 in Quebec. In both Quebec and Atlantic region, MenB was significantly more common than other serogroups, while in other provinces, both MenB and serogroup Y (MenY) were almost equally common. The majority of MenB cases (67.0%) were in those aged ≤24 years, while most MenC (75.0%) and MenY (69.6%) cases were in adults more than 24 years old. The 349 MenB isolates were grouped into 103 sequence types (STs), 90 of which belonged to 13 clonal complexes (CCs). A large number of 4CMenB antigen genes were found among the Canadian MenB, which is predicted to encode 50 factor H binding protein (fHbp) types, 40 NHBA types, and 55 PorA genotypes. Provinces and regions were found to have their own unique MenB STs. A meningococcal antigen typing system assay predicted an overall MenB coverage by 4CMenB to be 73.6%, with higher coverage predicted for the two most common STs: 100% for ST154 and 95.9% for ST269, leading to higher coverage in both the Atlantic region and Quebec. Higher coverage (81.4%) was also found for MenB recovered from persons aged 15 to 24 years, followed by strains from infants and children ≤4 years old (75.2%) and those aged 5 to 14 years (75.0%). Laboratory surveillance of invasive meningococcal disease (IMD) is important to our understanding of the evolving nature of the strain types causing the disease and the potential coverage of disease strains by the newly developed vaccines. This study examined the molecular epidemiology of culture-confirmed IMD cases in Canada by examining the strain types and the potential coverage of a newly licensed 4CMenB vaccine on Canadian serogroup B strains. The strain types identified in different parts of Canada appeared to be unique as well as their predicted coverage by the 4CMenB vaccine. These data were compared to data obtained from previous studies done in Canada and elsewhere globally. For effective control of IMD, laboratory surveillance of this type was found to be essential and useful to understand the dynamic nature of this disease.

摘要

2010 年至 2014 年期间,对加拿大经培养证实的侵袭性脑膜炎球菌病(IMD)的分子流行病学进行了研究,重点是 B 群血清型(MenB)分离株,包括它们对 4CMenB 疫苗的预测覆盖范围。经培养证实的 IMD 的年平均发病率从安大略省的 0.19/100,000 到新不伦瑞克省的 0.50/100,000 和魁北克省的 0.59/100,000 不等。在魁北克省和大西洋地区,MenB 明显比其他血清群更为常见,而在其他省份,MenB 和 Y 血清群(MenY)几乎同样常见。大多数 MenB 病例(67.0%)发生在≤24 岁的人群中,而大多数 MenC(75.0%)和 MenY(69.6%)病例发生在 24 岁以上的成年人中。349 株 MenB 分离株被分为 103 个序列型(ST),其中 90 个属于 13 个克隆复合物(CC)。在加拿大的 MenB 中发现了大量的 4CMenB 抗原基因,预计这些基因可编码 50 种因子 H 结合蛋白(fHbp)型、40 种 NHBA 型和 55 种 PorA 基因型。发现各省和地区都有自己独特的 MenB ST。脑膜炎球菌抗原分型系统检测预测 4CMenB 对 MenB 的总体覆盖率为 73.6%,其中两种最常见的 ST 预测覆盖率更高:ST154 为 100%,ST269 为 95.9%,这导致大西洋地区和魁北克省的覆盖率更高。在 15 至 24 岁的人群中,从脑膜炎球菌中恢复的 MenB 也发现了较高的覆盖率(81.4%),其次是婴儿和 4 岁以下儿童(75.2%)和 5 至 14 岁儿童(75.0%)的菌株。侵袭性脑膜炎球菌病(IMD)的实验室监测对于我们了解导致疾病的菌株类型的演变性质以及新开发疫苗对疾病菌株的潜在覆盖范围非常重要。本研究通过检查加拿大不同地区的菌株类型以及新许可的 4CMenB 疫苗对加拿大 B 群血清型菌株的潜在覆盖范围,检查了经培养证实的 IMD 病例的分子流行病学。在加拿大不同地区发现的菌株类型似乎是独特的,它们对 4CMenB 疫苗的预测覆盖范围也是独特的。这些数据与之前在加拿大和全球其他地方进行的研究中获得的数据进行了比较。为了有效控制 IMD,发现这种类型的实验室监测对于了解这种疾病的动态性质是必不可少的。

https://cdn.ncbi.nlm.nih.gov/pmc/blobs/a617/7056808/db63b7b16a03/mSphere.00883-19-f0001.jpg

文献AI研究员

20分钟写一篇综述,助力文献阅读效率提升50倍。

立即体验

用中文搜PubMed

大模型驱动的PubMed中文搜索引擎

马上搜索

文档翻译

学术文献翻译模型,支持多种主流文档格式。

立即体验