Suppr超能文献

非致死浓度 H2O2 暴露可提高细菌对氧化应激的生存能力和进化能力。

Non-lethal exposure to H2O2 boosts bacterial survival and evolvability against oxidative stress.

机构信息

Freie Universität Berlin, Institute of Biology, Evolutionary Biology, Berlin, Germany.

Leibniz-Institute of Freshwater Ecology and Inland Fisheries (IGB), Berlin, Germany.

出版信息

PLoS Genet. 2020 Mar 12;16(3):e1008649. doi: 10.1371/journal.pgen.1008649. eCollection 2020 Mar.

Abstract

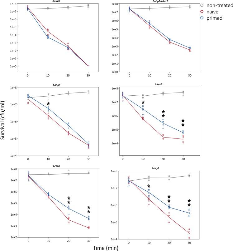
Unicellular organisms have the prevalent challenge to survive under oxidative stress of reactive oxygen species (ROS) such as hydrogen peroxide (H2O2). ROS are present as by-products of photosynthesis and aerobic respiration. These reactive species are even employed by multicellular organisms as potent weapons against microbes. Although bacterial defences against lethal and sub-lethal oxidative stress have been studied in model bacteria, the role of fluctuating H2O2 concentrations remains unexplored. It is known that sub-lethal exposure of Escherichia coli to H2O2 results in enhanced survival upon subsequent exposure. Here we investigate the priming response to H2O2 at physiological concentrations. The basis and the duration of the response (memory) were also determined by time-lapse quantitative proteomics. We found that a low level of H2O2 induced several scavenging enzymes showing a long half-life, subsequently protecting cells from future exposure. We then asked if the phenotypic resistance against H2O2 alters the evolution of resistance against oxygen stress. Experimental evolution of H2O2 resistance revealed faster evolution and higher levels of resistance in primed cells. Several mutations were found to be associated with resistance in evolved populations affecting different loci but, counterintuitively, none of them was directly associated with scavenging systems. Our results have important implications for host colonisation and infections where microbes often encounter reactive oxygen species in gradients.

摘要

单细胞生物普遍面临着在活性氧(ROS)如过氧化氢(H2O2)的氧化应激下生存的挑战。ROS 是光合作用和需氧呼吸的副产物。这些活性物质甚至被多细胞生物用作对抗微生物的有效武器。尽管已经在模式细菌中研究了细菌对致死性和亚致死性氧化应激的防御机制,但 H2O2 浓度波动的作用仍未得到探索。已知,低水平的 H2O2 暴露会导致大肠杆菌在随后的暴露中增强存活。在这里,我们研究了生理浓度下 H2O2 的引发反应。通过延时定量蛋白质组学,还确定了反应(记忆)的基础和持续时间。我们发现,低水平的 H2O2 诱导了几种具有长半衰期的清除酶,从而保护细胞免受未来的暴露。然后,我们询问针对 H2O2 的表型抗性是否会改变对氧气应激的抗性进化。H2O2 抗性的实验进化揭示了在引发细胞中更快的进化和更高水平的抗性。在进化种群中发现了几个与抗性相关的突变,这些突变影响了不同的基因座,但具有讽刺意味的是,它们都与清除系统没有直接关联。我们的研究结果对宿主定植和感染具有重要意义,因为微生物在这些过程中经常会遇到梯度变化的活性氧。

https://cdn.ncbi.nlm.nih.gov/pmc/blobs/78e0/7093028/f28128bcf1f6/pgen.1008649.g001.jpg

文献AI研究员

20分钟写一篇综述,助力文献阅读效率提升50倍。

立即体验

用中文搜PubMed

大模型驱动的PubMed中文搜索引擎

马上搜索

文档翻译

学术文献翻译模型,支持多种主流文档格式。

立即体验