Suppr超能文献

冠状动脉计算机断层扫描血管造影中的低衰减非钙化斑块可预测心肌梗死:来自多中心 SCOT-HEART 试验(苏格兰心脏计算机断层扫描)的结果。

Low-Attenuation Noncalcified Plaque on Coronary Computed Tomography Angiography Predicts Myocardial Infarction: Results From the Multicenter SCOT-HEART Trial (Scottish Computed Tomography of the HEART).

机构信息

University/BHF Centre for Cardiovascular Science (M.C.W., J.K., M.D., M.S.D'S., P.D.A., A.J.M., S.A., A.H., A.S.V.S., N.L.M., T.P., C.W., E.J.R.v.B., D.E.N., M.R.D.), University of Edinburgh, United Kingdom.

Edinburgh Imaging Facility QMRI (M.C.W., E.J.R.v.B., D.E.N., M.R.D.), University of Edinburgh, United Kingdom.

出版信息

Circulation. 2020 May 5;141(18):1452-1462. doi: 10.1161/CIRCULATIONAHA.119.044720. Epub 2020 Mar 16.

Abstract

BACKGROUND

The future risk of myocardial infarction is commonly assessed using cardiovascular risk scores, coronary artery calcium score, or coronary artery stenosis severity. We assessed whether noncalcified low-attenuation plaque burden on coronary CT angiography (CCTA) might be a better predictor of the future risk of myocardial infarction.

METHODS

In a post hoc analysis of a multicenter randomized controlled trial of CCTA in patients with stable chest pain, we investigated the association between the future risk of fatal or nonfatal myocardial infarction and low-attenuation plaque burden (% plaque to vessel volume), cardiovascular risk score, coronary artery calcium score or obstructive coronary artery stenoses.

RESULTS

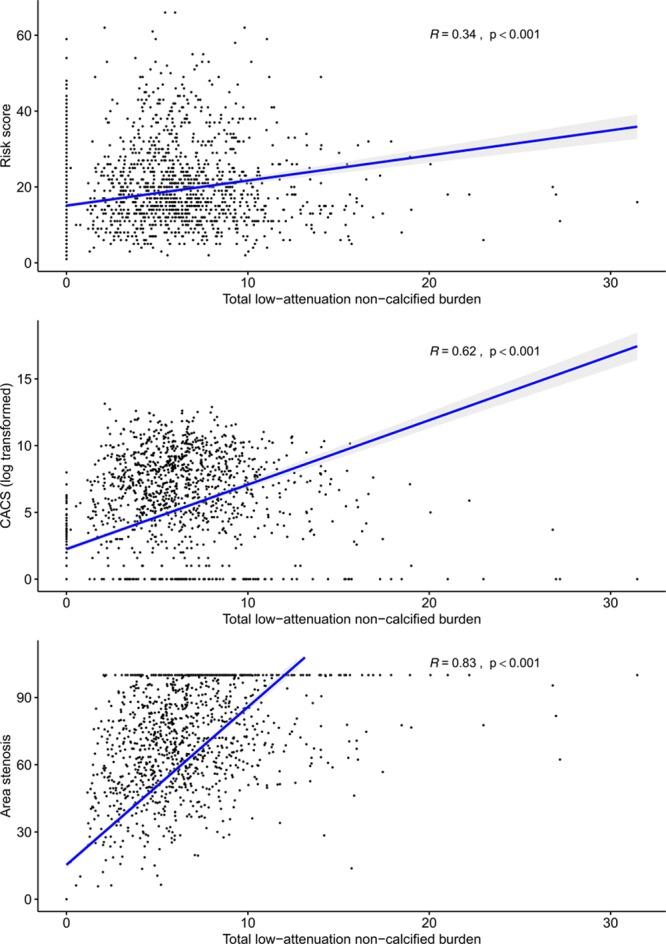
In 1769 patients (56% male; 58±10 years) followed up for a median 4.7 (interquartile interval, 4.0-5.7) years, low-attenuation plaque burden correlated weakly with cardiovascular risk score (=0.34; <0.001), strongly with coronary artery calcium score (=0.62; <0.001), and very strongly with the severity of luminal coronary stenosis (area stenosis, =0.83; <0.001). Low-attenuation plaque burden (7.5% [4.8-9.2] versus 4.1% [0-6.8]; <0.001), coronary artery calcium score (336 [62-1064] versus 19 [0-217] Agatston units; <0.001), and the presence of obstructive coronary artery disease (54% versus 25%; <0.001) were all higher in the 41 patients who had fatal or nonfatal myocardial infarction. Low-attenuation plaque burden was the strongest predictor of myocardial infarction (adjusted hazard ratio, 1.60 (95% CI, 1.10-2.34) per doubling; =0.014), irrespective of cardiovascular risk score, coronary artery calcium score, or coronary artery area stenosis. Patients with low-attenuation plaque burden greater than 4% were nearly 5 times more likely to have subsequent myocardial infarction (hazard ratio, 4.65; 95% CI, 2.06-10.5; <0.001).

CONCLUSIONS

In patients presenting with stable chest pain, low-attenuation plaque burden is the strongest predictor of fatal or nonfatal myocardial infarction. These findings challenge the current perception of the supremacy of current classical risk predictors for myocardial infarction, including stenosis severity. Registration: URL: https://www.clinicaltrials.gov; Unique identifier: NCT01149590.

摘要

背景

通常使用心血管风险评分、冠状动脉钙评分或冠状动脉狭窄严重程度来评估心肌梗死的未来风险。我们评估了冠状动脉 CT 血管造影 (CCTA) 上非钙化低衰减斑块负担是否可能是心肌梗死未来风险的更好预测指标。

方法

在一项稳定型胸痛患者 CCTA 多中心随机对照试验的事后分析中,我们研究了未来致命或非致命性心肌梗死风险与低衰减斑块负担(%斑块体积与血管体积)、心血管风险评分、冠状动脉钙评分或阻塞性冠状动脉狭窄之间的关联。

结果

在中位随访 4.7 年(四分位间距,4.0-5.7 年)的 1769 例患者(56%为男性;58±10 岁)中,低衰减斑块负担与心血管风险评分呈弱相关(=0.34;<0.001),与冠状动脉钙评分呈强相关(=0.62;<0.001),与管腔冠状动脉狭窄严重程度呈极强相关(面积狭窄,=0.83;<0.001)。低衰减斑块负担(7.5%[4.8-9.2]比 4.1%[0-6.8];<0.001)、冠状动脉钙评分(336[62-1064]比 19[0-217]Agatston 单位;<0.001)和存在阻塞性冠状动脉疾病(54%比 25%;<0.001)在 41 例发生致命或非致命性心肌梗死的患者中均更高。低衰减斑块负担是心肌梗死的最强预测指标(调整后的危险比,每增加一倍为 1.60[95%CI,1.10-2.34];=0.014),与心血管风险评分、冠状动脉钙评分或冠状动脉面积狭窄无关。低衰减斑块负担大于 4%的患者发生后续心肌梗死的可能性几乎高出 5 倍(危险比,4.65;95%CI,2.06-10.5;<0.001)。

结论

在出现稳定型胸痛的患者中,低衰减斑块负担是致命或非致命性心肌梗死的最强预测指标。这些发现挑战了当前对包括狭窄严重程度在内的心肌梗死的当前经典风险预测因素的认识。

注册

网址:https://www.clinicaltrials.gov;唯一标识符:NCT01149590。

https://cdn.ncbi.nlm.nih.gov/pmc/blobs/d5f8/7195857/1bfa9c9367c0/cir-141-1452-g001.jpg

文献AI研究员

20分钟写一篇综述,助力文献阅读效率提升50倍。

立即体验

用中文搜PubMed

大模型驱动的PubMed中文搜索引擎

马上搜索

文档翻译

学术文献翻译模型,支持多种主流文档格式。

立即体验