Suppr超能文献

植物中的应激反应:镉或铅处理下玉米中氧化应激、植物生长素和光合作用的作用。

Hormesis in Plants: The Role of Oxidative Stress, Auxins and Photosynthesis in Corn Treated with Cd or Pb.

机构信息

Plant Ecophysiology Team, Faculty of Natural Sciences, Institute of Biology, Biotechnology and Environmental Protection, University of Silesia in Katowice, 40-032 Katowice, Poland.

Institute for Ecology of Industrial Areas, 40-844 Katowice, Poland.

出版信息

Int J Mol Sci. 2020 Mar 19;21(6):2099. doi: 10.3390/ijms21062099.

Abstract

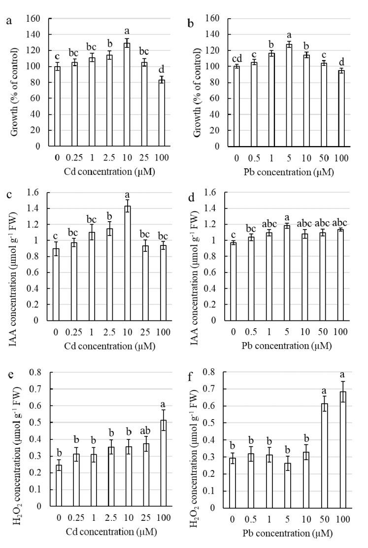
Hormesis, which describes the stimulatory effect of low doses of toxic substances on growth, is a well-known phenomenon in the plant and animal kingdoms. However, the mechanisms that are involved in this phenomenon are still poorly understood. We performed preliminary studies on corn coleoptile sections, which showed a positive correlation between the stimulation of growth by Cd or Pb and an increase in the auxin and HO content in the coleoptile sections. Subsequently, we grew corn seedlings in hydroponic culture and tested a wide range of Cd or Pb concentrations in order to determine hormetic growth stimulation. In these seedlings the gas exchange and the chlorophyll fluorescence, as well as the content of chlorophyll, flavonol, auxin and hydrogen peroxide, were measured. We found that during the hormetic stimulation of growth, the response of the photosynthetic apparatus to Cd and Pb differed significantly. While the application of Cd mostly caused a decrease in various photosynthetic parameters, the application of Pb stimulated some of them. Nevertheless, we discovered that the common features of the hormetic stimulation of shoot growth by heavy metals are an increase in the auxin and flavonol content and the maintenance of hydrogen peroxide at the same level as the control plants.

摘要

毒物兴奋效应描述了低剂量有毒物质对生长的刺激作用,这是植物和动物界中众所周知的现象。然而,涉及这种现象的机制仍未得到很好的理解。我们对玉米胚芽鞘切片进行了初步研究,结果表明 Cd 或 Pb 对生长的刺激与胚芽鞘切片中生长素和 HO 含量的增加之间存在正相关关系。随后,我们在水培培养中种植玉米幼苗,并测试了广泛的 Cd 或 Pb 浓度,以确定毒物兴奋生长刺激。在这些幼苗中,测量了气体交换和叶绿素荧光以及叶绿素、类黄酮、生长素和过氧化氢的含量。我们发现,在生长的毒物兴奋刺激过程中,光合作用器对 Cd 和 Pb 的反应有很大的不同。虽然 Cd 的应用主要导致各种光合作用参数的下降,但 Pb 的应用刺激了其中一些参数。然而,我们发现,重金属对芽生长的毒物兴奋刺激的共同特征是生长素和类黄酮含量的增加,以及过氧化氢含量与对照植物保持相同水平。

https://cdn.ncbi.nlm.nih.gov/pmc/blobs/a806/7139973/b938cf46f310/ijms-21-02099-g001.jpg

文献AI研究员

20分钟写一篇综述,助力文献阅读效率提升50倍。

立即体验

用中文搜PubMed

大模型驱动的PubMed中文搜索引擎

马上搜索

文档翻译

学术文献翻译模型,支持多种主流文档格式。

立即体验