Suppr超能文献

非抗凝肝素作为乙酰肝素酶抑制剂。

Non-Anticoagulant Heparins as Heparanase Inhibitors.

机构信息

Istituto di Ricerche Chimiche e Biochimiche G. Ronzoni, Milan, Italy.

出版信息

Adv Exp Med Biol. 2020;1221:493-522. doi: 10.1007/978-3-030-34521-1_20.

Abstract

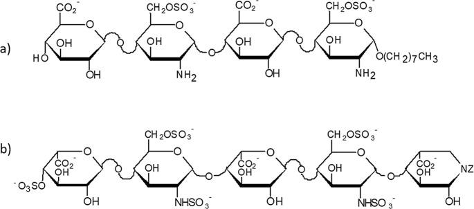
The chapter will review early and more recent seminal contributions to the discovery and characterization of heparanase and non-anticoagulant heparins inhibiting its peculiar enzymatic activity. Indeed, heparanase displays a unique versatility in degrading heparan sulfate chains of several proteoglycans expressed in all mammalian cells. This endo-β-D-glucuronidase is overexpressed in cancer, inflammation, diabetes, atherosclerosis, nephropathies and other pathologies. Starting from known low- or non-anticoagulant heparins, the search for heparanase inhibitors evolved focusing on structure-activity relationship studies and taking advantage of new chemical-physical analytical methods which have allowed characterization and sequencing of polysaccharide chains. New methods to screen heparanase inhibitors and to evaluate their mechanism of action and in vivo activity in experimental models prompted their development. New non-anticoagulant heparin derivatives endowed with anti-heparanase activity are reported. Some leads are under clinical evaluation in the oncology field (e.g., acute myeloid leukemia, multiple myeloma, pancreatic carcinoma) and in other pathological conditions (e.g., sickle cell disease, malaria, labor arrest).

摘要

本章将回顾早期和近期在发现和表征肝素酶和非抗凝血肝素方面的开创性贡献,这些肝素可以抑制其特殊的酶活性。事实上,肝素酶在降解所有哺乳动物细胞中表达的几种蛋白聚糖的肝素硫酸链方面表现出独特的多功能性。这种内-β-D-葡糖醛酸酶在癌症、炎症、糖尿病、动脉粥样硬化、肾病和其他病理状态下过度表达。从已知的低抗凝或非抗凝肝素开始,寻找肝素酶抑制剂的研究重点是结构-活性关系研究,并利用新的化学-物理分析方法,这些方法允许对多糖链进行表征和测序。新的筛选肝素酶抑制剂的方法以及评估它们在实验模型中的作用机制和体内活性促使其发展。具有抗肝素酶活性的新型非抗凝肝素衍生物也有报道。一些先导化合物正在肿瘤学领域(如急性髓细胞性白血病、多发性骨髓瘤、胰腺癌)和其他病理状况(如镰状细胞病、疟疾、分娩停滞)的临床试验中进行评估。

https://cdn.ncbi.nlm.nih.gov/pmc/blobs/fb20/7142274/50305d4e5aed/469083_1_En_20_Fig1_HTML.jpg

文献AI研究员

20分钟写一篇综述,助力文献阅读效率提升50倍。

立即体验

用中文搜PubMed

大模型驱动的PubMed中文搜索引擎

马上搜索

文档翻译

学术文献翻译模型,支持多种主流文档格式。

立即体验