Suppr超能文献

一种土壤真菌——木霉 QYCD-6 对多种重金属的耐受和去除。

Multiple heavy metal tolerance and removal by an earthworm gut fungus Trichoderma brevicompactum QYCD-6.

机构信息

School of Life Sciences, Anhui Agricultural University, Hefei, 230036, P.R. China.

Institute of Vegetables and Flowers, Chinese Academy of Agricultural Sciences, Beijing, 100081, China.

出版信息

Sci Rep. 2020 Apr 24;10(1):6940. doi: 10.1038/s41598-020-63813-y.

Abstract

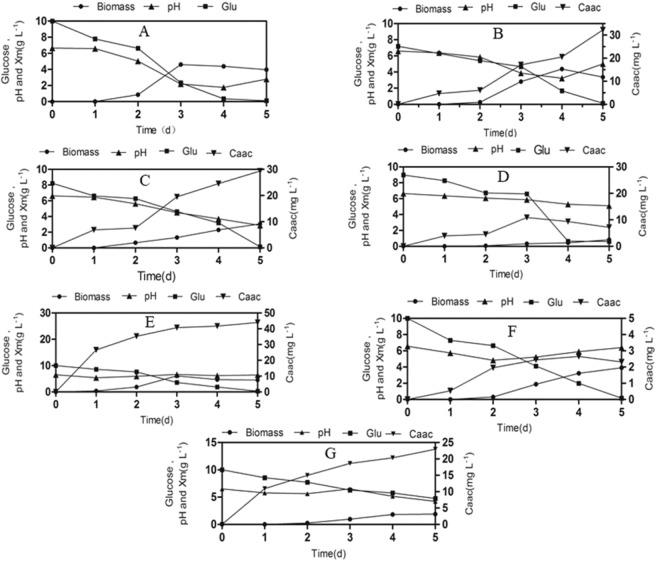
Fungal bioremediation is a promising approach to remove heavy-metal from contaminated water. Present study examined the ability of an earthworm gut fungus Trichoderma brevicompactum QYCD-6 to tolerate and remove both individual and multi-metals. The minimum inhibitory concentration (MIC) of heavy metals [Cu(II), Cr(VI), Cd(II) and Zn(II)] against the fungus was ranged 150-200 mg L on composite medium, and MIC of Pb(II) was the highest with 1600 mg L on potato dextrose (PD) medium. The Pb(II) presented the highest metal removal rate (97.5%) which mostly dependent on bioaccumulation with 80.0%, and synchronized with max biomass (6.13 g L) in PD medium. However, on the composite medium, the highest removal rate was observed for Cu(II) (64.5%). Cellular changes in fungus were reflected by TEM analysis. FTIR and solid-state NMR analyses indicated the involvement of different functional groups (amino, carbonyl, hydroxyl, et al.) in metallic biosorption. These results established that the earthworm-associated T. brevicompactum QYCD-6 was a promising fungus for the remediation of heavy-metal wastewater.

摘要

真菌生物修复是一种从受污染的水中去除重金属的很有前途的方法。本研究考察了蚯蚓肠道真菌密粘褶菌 QYCD-6 耐受和去除单一和多种金属的能力。重金属 [Cu(II)、Cr(VI)、Cd(II) 和 Zn(II)] 对该真菌的最小抑制浓度 (MIC) 在复合培养基中为 150-200mg/L,而在马铃薯葡萄糖 (PD) 培养基中 Pb(II) 的 MIC 最高,为 1600mg/L。Pb(II) 表现出最高的金属去除率(97.5%),主要依赖于生物积累,为 80.0%,与 PD 培养基中的最大生物量(6.13g/L)同步。然而,在复合培养基中,Cu(II)(64.5%)的去除率最高。真菌的细胞变化通过 TEM 分析反映出来。FTIR 和固态 NMR 分析表明,不同的功能基团(氨基、羰基、羟基等)参与了金属的生物吸附。这些结果表明,与蚯蚓相关的密粘褶菌 QYCD-6 是一种很有前途的用于重金属废水修复的真菌。

https://cdn.ncbi.nlm.nih.gov/pmc/blobs/7ce7/7181882/4f3fefe9fea8/41598_2020_63813_Fig1_HTML.jpg

文献AI研究员

20分钟写一篇综述,助力文献阅读效率提升50倍。

立即体验

用中文搜PubMed

大模型驱动的PubMed中文搜索引擎

马上搜索

文档翻译

学术文献翻译模型,支持多种主流文档格式。

立即体验