Suppr超能文献

根据竞争性内源性 RNA 网络鉴定结肠癌的预后生物标志物和药物靶点。

Identification of prognostic biomarkers and drug target prediction for colon cancer according to a competitive endogenous RNA network.

机构信息

Department of Clinical Laboratory, Xinhua Hospital Affiliated to Shanghai Jiao Tong University School of Medicine, Chongming Branch, Shanghai 202150, P.R. China.

Department of Clinical Laboratory, The First Affiliated Hospital, Anhui University of Traditional Chinese Medicine, Hefei, Anhui 230031, P.R. China.

出版信息

Mol Med Rep. 2020 Aug;22(2):620-632. doi: 10.3892/mmr.2020.11171. Epub 2020 May 22.

Abstract

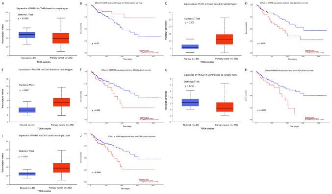
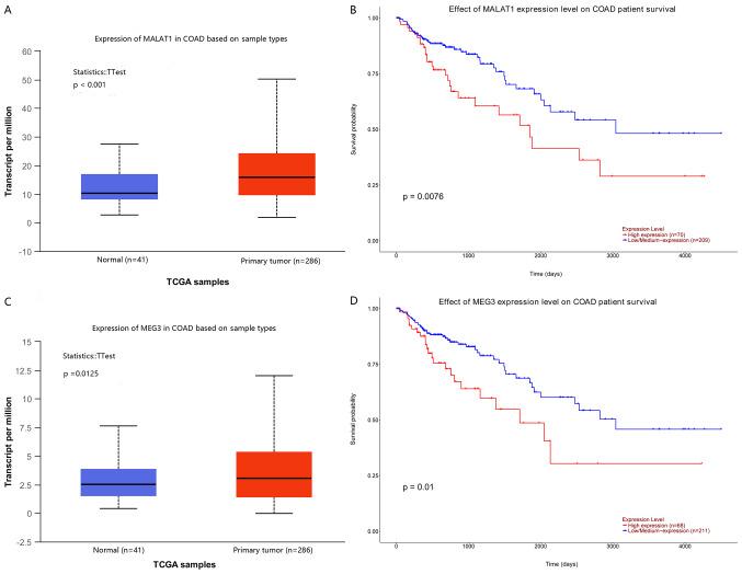
Colorectal cancer is one of the commoner digestive tract malignant tumor types, and its incidence and mortality rate are high. Accumulating evidence indicates that long‑chain non‑coding RNAs (lncRNAs) and protein‑coding RNAs interact with each other by competing with the same micro(mi)RNA response element (MREs) and serve an important role in the regulation of gene expression in a variety of tumor types. However, the regulatory mechanism and prognostic role of lncRNA‑mediated competing endogenous (ce)RNA networks in colon cancer have yet to be elucidated. The expression profiles of mRNAs, lncRNAs and miRNAs from 471 colon cancer and 41 paracancerous tissue samples were downloaded from The Cancer Genome Atlas database. A lncRNA‑miRNA‑mRNA ceRNA network in colon cancer was constructed and comprised 17 hub lncRNAs, 87 hub miRNA and 144 hub mRNAs. The topological properties of the network were analyzed, and the random walk algorithm was used to identify the nodes significantly associated with colon cancer. Survival analysis using the UALCAN database indicated that 2/17 lncRNAs identified [metastasis‑associated lung adenocarcinoma transcript (MALAT1) and maternally expressed gene 3 (MEG3)] and 5/144 mRNAs [FES upstream region (FURIN), nuclear factor of activated T‑cells 5 (NFAT5), RNA Binding Motif Protein 12B (RBM12B), Ras related GTP binding A (RRAGA) and WD repeat domain phosphoinositide‑interacting protein 2 (WIPI2)] were significantly associated with the overall survival of patients with colon cancer, and may therefore be used as potential prognostic biomarkers of colon cancer. According to extracted lncRNA‑miRNA‑mRNA interaction pairs, the GSE26334 dataset was used to confirm that the lncRNA MALAT1/miR‑129‑5p/NFAT5 axis may represent a novel regulatory mechanism concerning the progression of colon cancer. The clusterProfiler package was used to analyze Gene Ontology (GO) and Kyoto Encyclopedia of Genes and Genomes (KEGG) pathways in colon cancer. Finally, drugs that significantly interact with the core genes identified in colon cancer were predicted using a hypergeometric test. Of these, fostamatinib was identified to be a targeted drug for colon cancer therapy. The present findings provide a novel perspective for improved understanding of the lncRNA‑associated ceRNA network and may facilitate the development of novel targeted therapeutics in colon cancer.

摘要

结直肠癌是常见的消化道恶性肿瘤之一,其发病率和死亡率均较高。大量证据表明,长链非编码 RNA(lncRNA)与蛋白质编码 RNA 通过与相同的 micro(mi)RNA 反应元件(MREs)竞争相互作用,在多种肿瘤类型的基因表达调控中发挥重要作用。然而,lncRNA 介导的竞争性内源性(ce)RNA 网络在结肠癌中的调控机制和预后作用尚不清楚。从癌症基因组图谱数据库中下载了 471 例结肠癌和 41 例癌旁组织样本的 mRNA、lncRNA 和 miRNA 的表达谱。构建了结肠癌 lncRNA-miRNA-mRNA ceRNA 网络,包含 17 个核心 lncRNA、87 个核心 miRNA 和 144 个核心 mRNA。分析网络的拓扑性质,并使用随机游走算法识别与结肠癌显著相关的节点。使用 UALCAN 数据库进行生存分析表明,鉴定的 2/17 lncRNA[转移相关肺腺癌转录物(MALAT1)和母系表达基因 3(MEG3)]和 5/144 mRNA[FES 上游区(FURIN)、活化 T 细胞核因子 5(NFAT5)、RNA 结合基序蛋白 12B(RBM12B)、Ras 相关 GTP 结合 A(RRAGA)和 WD 重复域磷酸肌醇相互作用蛋白 2(WIPI2)]与结肠癌患者的总生存率显著相关,因此可作为结肠癌潜在的预后生物标志物。根据提取的 lncRNA-miRNA-mRNA 相互作用对,使用 GSE26334 数据集证实 lncRNA MALAT1/miR-129-5p/NFAT5 轴可能代表结肠癌进展的新调控机制。使用 clusterProfiler 软件包分析结肠癌中的基因本体论(GO)和京都基因与基因组百科全书(KEGG)通路。最后,使用超几何检验预测与结肠癌核心基因显著相互作用的药物。其中, fostamatinib 被鉴定为结肠癌治疗的靶向药物。本研究结果为深入了解 lncRNA 相关 ceRNA 网络提供了新视角,并可能有助于开发结肠癌的新型靶向治疗药物。

https://cdn.ncbi.nlm.nih.gov/pmc/blobs/be01/7339803/e7b9ad37c9ac/MMR-22-02-0620-g00.jpg

文献AI研究员

20分钟写一篇综述,助力文献阅读效率提升50倍。

立即体验

用中文搜PubMed

大模型驱动的PubMed中文搜索引擎

马上搜索

文档翻译

学术文献翻译模型,支持多种主流文档格式。

立即体验