Suppr超能文献

间质性肺疾病中胸肌面积和骨骼肌力量与运动耐力及呼吸困难的关系。

Relationship of pectoralis muscle area and skeletal muscle strength with exercise tolerance and dyspnea in interstitial lung disease.

作者信息

Pietro Krauspenhar Merola, Ricardo Gass, Rui Gustavo Paulus Nenê Dorneles, Marcelo Basso Gazzana, Fernando Ferreira Gazzoni, Bruno Hochhegger, Samuel Verges, Danilo C Berton

机构信息

Graduation Program in Pulmonology, School of Medicine, Federal University of Rio Grande do Sul (UFRGS), Porto Alegre, Brazil.

Respiratory Division, Hospital de Clínicas de Porto Alegre (HCPA), Universidade Federal do Rio Grande do Sul (UFRGS), Porto Alegre, Brazil.

出版信息

Sarcoidosis Vasc Diffuse Lung Dis. 2017;34(3):200-208. doi: 10.36141/svdld.v34i3.5384. Epub 2020 Mar 9.

Abstract

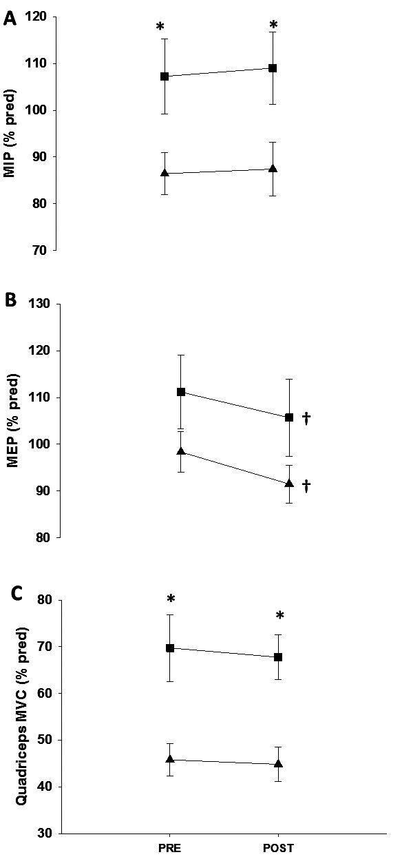
Pectoralis muscle area (PMA) is an easily derived computed tomography-based assessment that can provide insight into clinical features of other skeletal muscles. Respiratory and locomotor muscle dysfunction has been increasingly recognized in patients with interstitial lung disease (ILD). Its contribution to exercise performance has been controversial. We aimed to investigate if PMA is related with respiratory and locomotor skeletal muscle strength in ILD patients, and if skeletal muscle function is compromised and independently related with exercise capacity and dyspnea. Cross-sectional study where subjects performed incremental cycling cardiopulmonary exercise testing with maximal inspiratory (MIP) and expiratory (MEP) pressure measurements, and quadriceps maximal voluntary contraction (MVC) before and after exercise. Thirty ILD patients (forced vital capacity [FVC] and lung diffusing capacity [DL] of 60±15% and 38±10% of predicted, respectively) and 15 healthy control subjects were studied. Patients presented significantly lower MIP and qMVC compared to controls. PMA was significantly associated with qMVC only (r=0.506; p<0.01). Only expiratory muscles showed a significant strength decline after exercise, both in patients and controls. In multivariate regression analysis, only FVC remained as independent predictor of peak aerobic capacity and MEP post exercise remained as independent predictor of peak exercise dyspnea even adjusting for FVC. ILD patients exhibited reduced inspiratory and quadriceps strength, but PMA was associated with the later only. Muscle strength was not associated with exercise capacity while expiratory muscle fatigue might underlie exertional dyspnea. .

摘要

胸肌面积(PMA)是一种基于计算机断层扫描的易于得出的评估指标,可用于深入了解其他骨骼肌的临床特征。间质性肺疾病(ILD)患者的呼吸和运动肌功能障碍已越来越受到认可。其对运动表现的影响一直存在争议。我们旨在研究PMA是否与ILD患者的呼吸和运动骨骼肌力量相关,以及骨骼肌功能是否受损并与运动能力和呼吸困难独立相关。这是一项横断面研究,研究对象进行递增式自行车心肺运动测试,同时测量最大吸气(MIP)和呼气(MEP)压力,以及运动前后股四头肌的最大自主收缩(MVC)。研究了30例ILD患者(用力肺活量[FVC]和肺弥散量[DL]分别为预测值的60±15%和38±10%)和15名健康对照者。与对照组相比,患者的MIP和qMVC显著降低。PMA仅与qMVC显著相关(r = 0.506;p < 0.01)。仅呼气肌在运动后力量显著下降,患者和对照组均如此。在多变量回归分析中,即使对FVC进行校正,仅FVC仍是峰值有氧运动能力的独立预测指标,运动后MEP仍是峰值运动性呼吸困难的独立预测指标。ILD患者吸气和股四头肌力量降低,但PMA仅与后者相关。肌肉力量与运动能力无关,而呼气肌疲劳可能是运动性呼吸困难的潜在原因。

https://cdn.ncbi.nlm.nih.gov/pmc/blobs/b878/7170103/3b79daa8d67b/SVDLD-34-200-g001.jpg

文献AI研究员

20分钟写一篇综述,助力文献阅读效率提升50倍。

立即体验

用中文搜PubMed

大模型驱动的PubMed中文搜索引擎

马上搜索

文档翻译

学术文献翻译模型,支持多种主流文档格式。

立即体验