Suppr超能文献

β-葡萄糖苷酶活性与膳食植物糖苷的发酵具有物种和菌株特异性。

β-Glucosidase Activity and Fermentation of Dietary Plant Glucosides Is Species and Strain Specific.

作者信息

Modrackova Nikol, Vlkova Eva, Tejnecky Vaclav, Schwab Clarissa, Neuzil-Bunesova Vera

机构信息

Department of Microbiology, Nutrition and Dietetics, Czech University of Life Sciences Prague, Kamycka 129, 16500 Prague 6, Czech Republic.

Department of Soil Science and Soil Protection, Czech University of Life Sciences Prague, Kamycka 129, 16500 Prague 6, Czech Republic.

出版信息

Microorganisms. 2020 Jun 3;8(6):839. doi: 10.3390/microorganisms8060839.

Abstract

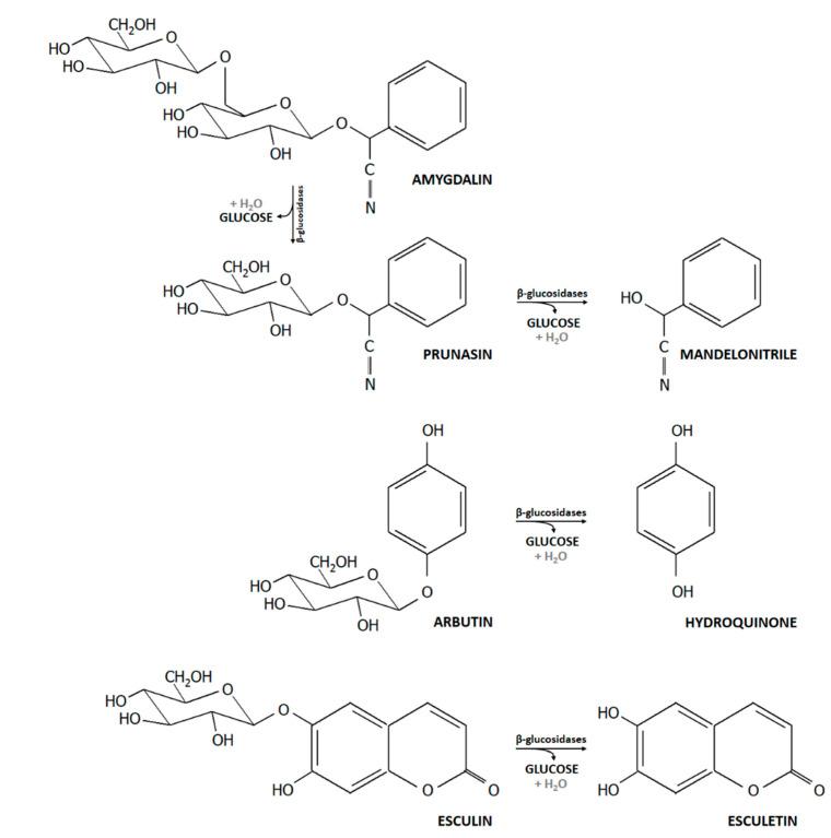
Dietary plant glucosides are phytochemicals whose bioactivity and bioavailability can be modified by glucoside hydrolase activity of intestinal microbiota through the release of acylglycones. Bifidobacteria are gut commensals whose genomic potential indicates host-adaption as they possess a diverse set of glycosyl hydrolases giving access to a variety of dietary glycans. We hypothesized bifidobacteria with β-glucosidase activity could use plant glucosides as fermentation substrate and tested 115 strains assigned to eight different species and from different hosts for their potential to express β-glucosidases and ability to grow in the presence of esculin, amygdalin, and arbutin. Concurrently, the antibacterial activity of arbutin and its acylglycone hydroquinone was investigated. Beta-glucosidase activity of bifidobacteria was species specific and most prevalent in species occurring in human adults and animal hosts. Utilization and fermentation profiles of plant glucosides differed between strains and might provide a competitive benefit enabling the intestinal use of dietary plant glucosides as energy sources. Bifidobacterial β-glucosidase activity can increase the bioactivity of plant glucosides through the release of acylglycone.

摘要

膳食植物糖苷是一类植物化学物质,其生物活性和生物利用度可通过肠道微生物群的糖苷水解酶活性释放酰基配糖体而发生改变。双歧杆菌是肠道共生菌,其基因组潜力表明它们具有宿主适应性,因为它们拥有多种糖基水解酶,能够利用多种膳食聚糖。我们推测具有β-葡萄糖苷酶活性的双歧杆菌可以利用植物糖苷作为发酵底物,并测试了115株分属于8个不同物种且来自不同宿主的菌株表达β-葡萄糖苷酶的潜力以及在七叶苷、苦杏仁苷和熊果苷存在下生长的能力。同时,研究了熊果苷及其酰基配糖体对苯二酚的抗菌活性。双歧杆菌的β-葡萄糖苷酶活性具有物种特异性,在人类成年人和动物宿主中出现的物种中最为普遍。不同菌株对植物糖苷的利用和发酵情况有所不同,这可能提供一种竞争优势,使肠道能够将膳食植物糖苷用作能量来源。双歧杆菌的β-葡萄糖苷酶活性可通过释放酰基配糖体来提高植物糖苷的生物活性。

https://cdn.ncbi.nlm.nih.gov/pmc/blobs/8ddf/7355683/f7d9d51e178f/microorganisms-08-00839-g001.jpg

文献AI研究员

20分钟写一篇综述,助力文献阅读效率提升50倍。

立即体验

用中文搜PubMed

大模型驱动的PubMed中文搜索引擎

马上搜索

文档翻译

学术文献翻译模型,支持多种主流文档格式。

立即体验