Suppr超能文献

新烟碱类化合物的微生物降解及生化机制研究进展

Insights Into the Microbial Degradation and Biochemical Mechanisms of Neonicotinoids.

作者信息

Pang Shimei, Lin Ziqiu, Zhang Wenping, Mishra Sandhya, Bhatt Pankaj, Chen Shaohua

机构信息

State Key Laboratory for Conservation and Utilization of Subtropical Agro-bioresources, Guangdong Province Key Laboratory of Microbial Signals and Disease Control, Integrative Microbiology Research Centre, South China Agricultural University, Guangzhou, China.

Guangdong Laboratory for Lingnan Modern Agriculture, Guangzhou, China.

出版信息

Front Microbiol. 2020 May 19;11:868. doi: 10.3389/fmicb.2020.00868. eCollection 2020.

Abstract

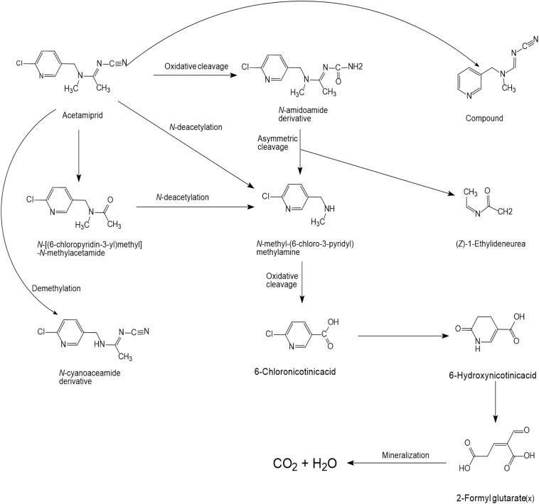
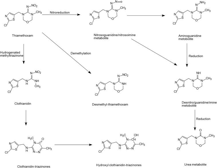
Neonicotinoids are derivatives of synthetic nicotinoids with better insecticidal capabilities, including imidacloprid, nitenpyram, acetamiprid, thiacloprid, thiamethoxam, clothianidin, and dinotefuran. These are mainly used to control harmful insects and pests to protect crops. Their main targets are nicotinic acetylcholine receptors. In the past two decades, the environmental residues of neonicotinoids have enormously increased due to large-scale applications. More and more neonicotinoids remain in the environment and pose severe toxicity to humans and animals. An increase in toxicological and hazardous pollution due to the introduction of neonicotinoids into the environment causes problems; thus, the systematic remediation of neonicotinoids is essential and in demand. Various technologies have been developed to remove insecticidal residues from soil and water environments. Compared with non-bioremediation methods, bioremediation is a cost-effective and eco-friendly approach for the treatment of pesticide-polluted environments. Certain neonicotinoid-degrading microorganisms, including , , , , , , and , have been isolated and characterized. These microbes can degrade neonicotinoids under laboratory and field conditions. The microbial degradation pathways of neonicotinoids and the fate of several metabolites have been investigated in the literature. In addition, the neonicotinoid-degrading enzymes and the correlated genes in organisms have been explored. However, few reviews have focused on the neonicotinoid-degrading microorganisms along with metabolic pathways and degradation mechanisms. Therefore, this review aimed to summarize the microbial degradation and biochemical mechanisms of neonicotinoids. The potentials of neonicotinoid-degrading microbes for the bioremediation of contaminated sites were also discussed.

摘要

新烟碱类是具有更好杀虫能力的合成烟碱类衍生物,包括吡虫啉、烯啶虫胺、啶虫脒、噻虫啉、噻虫嗪、氯噻啉和呋虫胺。这些主要用于控制有害昆虫和害虫以保护作物。它们的主要作用靶点是烟碱型乙酰胆碱受体。在过去二十年中,由于大规模应用,新烟碱类的环境残留量大幅增加。越来越多的新烟碱类残留在环境中,对人类和动物造成严重毒性。新烟碱类引入环境导致毒理学和有害污染增加,引发了问题;因此,对新烟碱类进行系统修复至关重要且很有必要。已经开发了各种技术来去除土壤和水环境中的杀虫残留物。与非生物修复方法相比,生物修复是一种处理农药污染环境的经济有效且环保的方法。已经分离并鉴定了某些新烟碱类降解微生物,包括[此处原文缺失具体微生物名称]。这些微生物可以在实验室和田间条件下降解新烟碱类。文献中已经研究了新烟碱类的微生物降解途径以及几种代谢物的归宿。此外,还探索了生物体内的新烟碱类降解酶和相关基因。然而,很少有综述关注新烟碱类降解微生物以及代谢途径和降解机制。因此,本综述旨在总结新烟碱类的微生物降解和生化机制。还讨论了新烟碱类降解微生物对污染场地进行生物修复的潜力。

https://cdn.ncbi.nlm.nih.gov/pmc/blobs/0738/7248232/912e71f8a232/fmicb-11-00868-g001.jpg

文献AI研究员

20分钟写一篇综述,助力文献阅读效率提升50倍。

立即体验

用中文搜PubMed

大模型驱动的PubMed中文搜索引擎

马上搜索

文档翻译

学术文献翻译模型,支持多种主流文档格式。

立即体验