Suppr超能文献

马伦丸通过在体外和体内调节慢传输型便秘中的水通道蛋白3(AQP3)和核因子-κB(NF-κB)信号通路改善便秘。

Maren Pills Improve Constipation via Regulating AQP3 and NF-B Signaling Pathway in Slow Transit Constipation In Vitro and In Vivo.

作者信息

Zhan Yu, Tang Xuegui, Xu Hong, Tang Shiyu

机构信息

Department of Anus and Intestine Surgery, Chengdu Integrated TCM &Western Medicine Hospital, Chengdu First People's Hospital, Chengdu, China.

Department of Anus and Intestine Surgery, Affiliated Hospital of North Sichuan Medical College, Nanchong, China.

出版信息

Evid Based Complement Alternat Med. 2020 Jul 23;2020:9837384. doi: 10.1155/2020/9837384. eCollection 2020.

Abstract

BACKGROUND

Maren pills have been used to treat constipation. Aquaporin 3 (AQP3) plays a vital role in regulating water transfer in the colon. It has been reported that the downregulation of AQP3 can regulate liquid water metabolism and intestinal permeability in irritable bowel syndrome (IBS) rats' colon via NF-B pathway. In this study, we investigated whether the laxative effect of Maren pills is associated with the regulation of AQP3 and NF-B signaling pathway in the colon.

METHODS

The compound diphenoxylate suspension-induced STC rats received Maren pills intragastrically for 1 consecutive week to evaluate the laxative effect of Maren pills involving the regulation of AQP3 and NF-B signaling pathway. Moreover, human intestinal epithelial cells (HT-29) were treated with drug serum to obtain in vitro data.

RESULTS

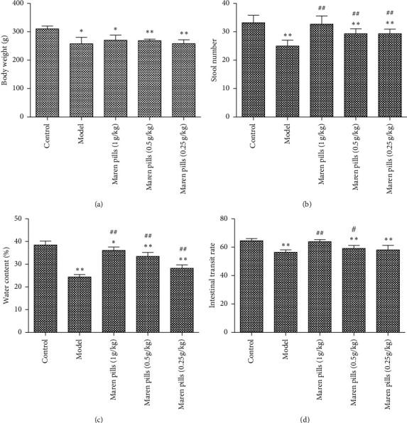
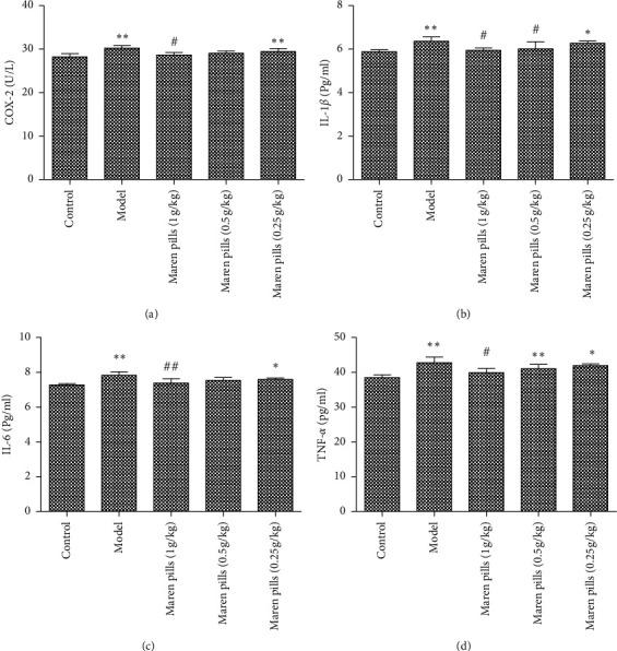
Our results revealed that treatment with Maren pills increased the stool number, moisture content of feces, and intestinal transit rate in a dose-dependent manner. Maren pills significantly increased the AQP3, fibrosis transmembrane conductance regulator (CFTR), and protein kinase A (PKA) proteins in the colon of rats and in HT-29 cells. Mechanistically, Maren pills obviously inhibited the activation of NF-B pathway in the colon of rats and in HT-29 cells.

CONCLUSION

These results suggest that the laxative effect of Maren pills is associated with the increased expression of AQP3 by downregulating NF-B signal pathway.

摘要

背景

麻仁丸一直用于治疗便秘。水通道蛋白3(AQP3)在调节结肠水转运中起关键作用。据报道,AQP3的下调可通过NF-κB途径调节肠易激综合征(IBS)大鼠结肠中的液态水代谢和肠道通透性。在本研究中,我们调查了麻仁丸的通便作用是否与结肠中AQP3和NF-κB信号通路的调节有关。

方法

用复方地芬诺酯混悬液诱导的慢传输型便秘(STC)大鼠连续1周灌胃给予麻仁丸,以评估麻仁丸通便作用及其对AQP3和NF-κB信号通路的调节。此外,用人肠上皮细胞(HT-29)进行药物血清处理以获得体外数据。

结果

我们的结果显示,麻仁丸治疗以剂量依赖性方式增加了大鼠的粪便数量、粪便含水量和肠道传输速率。麻仁丸显著增加了大鼠结肠和HT-29细胞中AQP3、囊性纤维化跨膜传导调节因子(CFTR)和蛋白激酶A(PKA)的蛋白表达。机制上,麻仁丸明显抑制了大鼠结肠和HT-29细胞中NF-κB途径的激活。

结论

这些结果表明,麻仁丸的通便作用与通过下调NF-κB信号通路增加AQP3的表达有关。

https://cdn.ncbi.nlm.nih.gov/pmc/blobs/f397/7396072/78a62f4b5394/ECAM2020-9837384.001.jpg

文献AI研究员

20分钟写一篇综述,助力文献阅读效率提升50倍。

立即体验

用中文搜PubMed

大模型驱动的PubMed中文搜索引擎

马上搜索

文档翻译

学术文献翻译模型,支持多种主流文档格式。

立即体验