Suppr超能文献

2-氯-5-[(4-氯苯基)磺酰基]-(烷基/芳基)-4-硝基苯甲酰胺衍生物作为抗糖尿病药物的合成、分子对接及分子动力学模拟研究

Synthesis, molecular docking and molecular dynamic simulation studies of 2-chloro-5-[(4-chlorophenyl)sulfamoyl]--(alkyl/aryl)-4-nitrobenzamide derivatives as antidiabetic agents.

作者信息

Thakral Samridhi, Narang Rakesh, Kumar Manoj, Singh Vikramjeet

机构信息

Department of Pharmaceutical Sciences, Guru Jambheshwar University of Science and Technology, Hisar, 125001 India.

Institute of Pharmaceutical Sciences, Kurukshetra University, Kurukshetra, 136118 Haryana India.

出版信息

BMC Chem. 2020 Aug 9;14(1):49. doi: 10.1186/s13065-020-00703-4. eCollection 2020 Dec.

Abstract

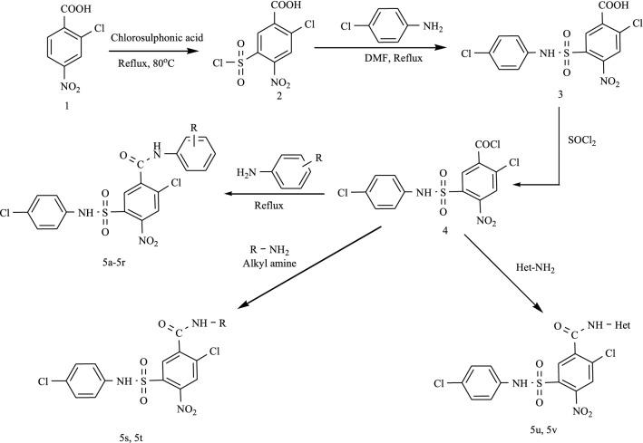
A series of 2-chloro-5-[(4-chlorophenyl)sulfamoyl]--(alkyl/aryl)-4-nitrobenzamide derivatives - has been synthesized and confirmed by physicochemical(R, melting point) and spectral means (IR, HNMR, CNMR). The results of in vitro antidiabetic study against α-glucosidase indicated that compound bearing 2-CH-5-NO substituent on phenyl ring was found to be the most active compound against both enzymes. The electron donating (CH) group and electron withdrawing (NO) group on a phenyl ring highly favoured the inhibitory activity against these enzymes. The docking simulations study revealed that these synthesized compounds displayed hydrogen bonding, electrostatic and hydrophobic interactions with active site residues. The structure activity relationship studies of these compounds were also corroborated with the help of molecular modeling studies. Molecular dynamic simulations have been done for top most active compound for validating its α-glucosidase and α-amylase inhibitory potential, RMSD analysis of ligand protein complex suggested the stability of top most active compound in binding site of target proteins. In silico ADMET results showed that synthesized compounds were found to have negligible toxicity, good solubility and absorption profile as the synthesized compounds fulfilled Lipinski's rule of 5 and Veber's rule.

摘要

一系列2-氯-5-[(4-氯苯基)磺酰基]-(烷基/芳基)-4-硝基苯甲酰胺衍生物已通过物理化学方法(R、熔点)和光谱手段(红外光谱、氢核磁共振谱、碳核磁共振谱)合成并得到确认。针对α-葡萄糖苷酶的体外抗糖尿病研究结果表明,在苯环上带有2-CH-5-NO取代基的化合物被发现是对这两种酶最具活性的化合物。苯环上的供电子(CH)基团和吸电子(NO)基团极大地促进了对这些酶的抑制活性。对接模拟研究表明,这些合成化合物与活性位点残基表现出氢键、静电和疏水相互作用。这些化合物的构效关系研究也在分子建模研究的帮助下得到了证实。已对最具活性的化合物进行了分子动力学模拟,以验证其α-葡萄糖苷酶和α-淀粉酶抑制潜力,配体-蛋白质复合物的均方根偏差分析表明最具活性的化合物在靶蛋白结合位点的稳定性。计算机辅助药物代谢动力学(ADMET)结果表明,由于合成化合物符合Lipinski的五规则和Veber规则,因此发现这些合成化合物具有可忽略不计的毒性、良好的溶解性和吸收特性。

https://cdn.ncbi.nlm.nih.gov/pmc/blobs/ddf2/7416410/bb23b48ca05d/13065_2020_703_Sch1_HTML.jpg

文献AI研究员

20分钟写一篇综述,助力文献阅读效率提升50倍。

立即体验

用中文搜PubMed

大模型驱动的PubMed中文搜索引擎

马上搜索

文档翻译

学术文献翻译模型,支持多种主流文档格式。

立即体验