Suppr超能文献

GSTM1 和 GSTT1 基因多态性与乳腺癌患者生存的频率及相关性。

Frequency and Association Of GSTM1 and GSTT1 Gene Polymorphisms with Survival in Breast Cancer Patients.

机构信息

Faculty of Public Health, Mahidol University, Bangkok, Thailand.

Research Division, National Cancer Institute, Bangkok, Thailand.

出版信息

Asian Pac J Cancer Prev. 2020 Aug 1;21(8):2251-2257. doi: 10.31557/APJCP.2020.21.8.2251.

Abstract

OBJECTIVE

Glutathione S-transferase M1 and T1 (GSTM1 and GSTT1) are the key detoxification enzymes of xenobiotics, including chemotherapeutic drugs. The deletion polymorphisms of GSTM1 and GSTT1 genes are associated with reduced enzyme activity that influenced clinical outcomes of chemotherapeutic agents in breast cancer. However, there is limited information among Thai patients. This research aims to explore the frequency and role of GSTM1 and GSTT1 polymorphisms on survival among Thai patients with breast cancer.

METHODS

The retrospective cohort study was performed. Demographic data and clinicopathology characteristics were collected from hospital base registry data and medical records. A multiplex qualitative real-time PCR method was used to detect the presence or absence of the GSTM1 and GSTT1 gene in the genomic DNA samples of the participants.

RESULTS

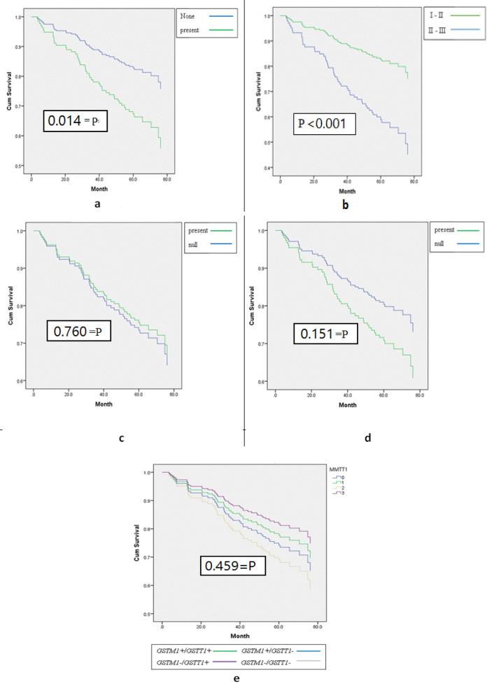
The frequencies of the GSTM1 and GSTT1 null genotypes in 198 breast cancer patients were 65.70% and 33.30%, respectively. The overall survival at 1, 3 and 5 years were 95.00%, 83.00%, 71.00% respectively. The log rank test and Cox proportional hazards revealed a significant different in the 5-years overall survival according to lymph node metastasis and tumor stage (P = 0.014 and P < 0.001). No associations between overall survival and GSTM1 or GSTT1 genotype were found in single or combined genotypes analyses (P = 0.76 and P= 0.15).

CONCLUSION

The results of our study provided the epidemiological information for prognostic of survival in breast cancer patients treated with chemotherapy.
.

摘要

目的

谷胱甘肽 S-转移酶 M1 和 T1(GSTM1 和 GSTT1)是包括化疗药物在内的异源生物的关键解毒酶。GSTM1 和 GSTT1 基因缺失多态性与酶活性降低有关,影响乳腺癌化疗药物的临床结局。然而,泰国患者的相关信息有限。本研究旨在探讨 GSTM1 和 GSTT1 多态性对泰国乳腺癌患者生存的影响。
方法:本研究采用回顾性队列研究。从医院基础登记数据和病历中收集人口统计学数据和临床病理特征。采用多重定性实时 PCR 法检测参与者基因组 DNA 样本中 GSTM1 和 GSTT1 基因的存在或缺失。
结果:198 例乳腺癌患者中 GSTM1 和 GSTT1 缺失基因型的频率分别为 65.70%和 33.30%。1、3 和 5 年总生存率分别为 95.00%、83.00%和 71.00%。对数秩检验和 Cox 比例风险显示,根据淋巴结转移和肿瘤分期,5 年总生存率存在显著差异(P=0.014 和 P<0.001)。单因素或联合基因型分析均未发现 GSTT1 或 GSTT1 基因型与总生存率之间存在关联(P=0.76 和 P=0.15)。
结论:本研究结果为化疗治疗的乳腺癌患者生存预后提供了流行病学信息。

https://cdn.ncbi.nlm.nih.gov/pmc/blobs/0e42/7771926/7774ea066d5f/APJCP-21-2251-g001.jpg

文献AI研究员

20分钟写一篇综述,助力文献阅读效率提升50倍。

立即体验

用中文搜PubMed

大模型驱动的PubMed中文搜索引擎

马上搜索

文档翻译

学术文献翻译模型,支持多种主流文档格式。

立即体验