Suppr超能文献

纯化的梅花鹿鹿角蛋白通过激活 Nrf2 通路和抑制 NF-κB 通路来减轻 GM 诱导的肾毒性。

Purified Sika deer antler protein attenuates GM-induced nephrotoxicity by activating Nrf2 pathway and inhibiting NF-κB pathway.

机构信息

College of Chinese Medicine Materials, Jilin Agricultural University, Xincheng road 2888, Changchun, 130118, China.

Changchun SCI-TECH University, Changchun, 130600, China.

出版信息

Sci Rep. 2020 Sep 24;10(1):15601. doi: 10.1038/s41598-020-71943-6.

Abstract

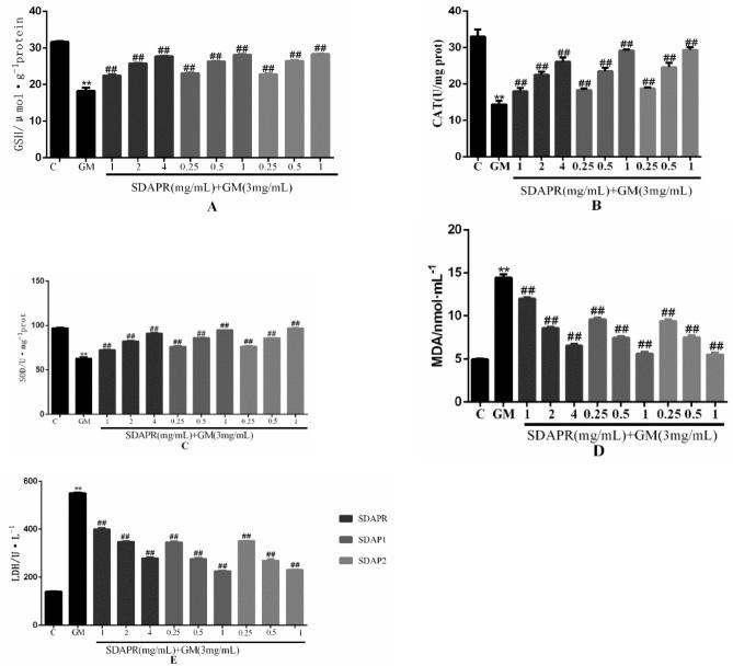
Although gentamicin is widely used as an antibiotic in clinical practice, it also has some side-effects, such as acute kidney injury, which is a common condition caused by the abuse of gentamicin. Sika deer antler protein (SDAPR) can antagonize drug-induced AKI. Since SDAPR is recognized as an effective part of velvet antler, its components were further separated. Two components named SDAP1 and SDAP2 were obtained. The protective effects of SDAPR, SDAP1 and SDAP2 on GM-induced cytotoxicity to HEK293 and its potential mechanisms were studied. MTT and xCELLigence Real-Time cell analysis showed that SDAPR, SDAP1 and SDAP2 could protect HEK293 cells from GM toxicity. Similarly, SDAPR, SDAP1 and SDAP2 can reduce ROS level, reduce oxidative stress and improve inflammation Further studies have shown that SDAPR, SDAP1 and SDAP2 upregulate the Nrf2/HO-1 pathway by increasing the expression of Nrf2 and HO-1, and down-regulate the NF-κB pathway by reducing the protein expression of NF-κB. Annexin V/PI flow cytometry and Hoechst 33258 staining showed that SDAPR, SDAP1 and SDAP2 inhibited GM-induced apoptosis in HEK293 cells. Western blot analysis showed SDAPR, SDAP1 and SDAP2 decreased expression level of Bax and Cleaved-caspase-3, and increased the expression level of Bcl-2. In addition, we examined the feasibility of SDAP1 and SDAP1 to avoid kidney injury in a GM mouse model. In conclusion, SDAPR, SDAP1 and SDAP2 can be used to prevent GM-induced HEK293 cytotoxicity, probably because they have strong anti-oxidative stress, anti-inflammatory and anti-apoptotic effects. And SDAP1 and SDAP2 can inhibit GM-induced acute kidney injury in mice.

摘要

虽然庆大霉素在临床实践中被广泛用作抗生素,但它也有一些副作用,如急性肾损伤,这是庆大霉素滥用引起的常见病症。梅花鹿鹿茸蛋白(SDAPR)可以拮抗药物引起的 AKI。由于 SDAPR 被认为是鹿茸的有效成分,因此对其进行了进一步分离。得到了两种名为 SDAP1 和 SDAP2 的成分。研究了 SDAPR、SDAP1 和 SDAP2 对 GM 诱导的 HEK293 细胞毒性的保护作用及其潜在机制。MTT 和 xCELLigence 实时细胞分析表明,SDAPR、SDAP1 和 SDAP2 可以保护 HEK293 细胞免受 GM 毒性的影响。同样,SDAPR、SDAP1 和 SDAP2 可以降低 ROS 水平,减轻氧化应激并改善炎症。进一步的研究表明,SDAPR、SDAP1 和 SDAP2 通过增加 Nrf2 和 HO-1 的表达来上调 Nrf2/HO-1 通路,并通过降低 NF-κB 通路的蛋白表达来下调 NF-κB 通路。Annexin V/PI 流式细胞术和 Hoechst 33258 染色表明,SDAPR、SDAP1 和 SDAP2 抑制 GM 诱导的 HEK293 细胞凋亡。Western blot 分析表明,SDAPR、SDAP1 和 SDAP2 降低了 Bax 和 Cleaved-caspase-3 的表达水平,增加了 Bcl-2 的表达水平。此外,我们还检查了 SDAP1 和 SDAP1 在 GM 小鼠模型中避免肾损伤的可行性。总之,SDAPR、SDAP1 和 SDAP2 可用于预防 GM 诱导的 HEK293 细胞毒性,这可能是因为它们具有很强的抗氧化应激、抗炎和抗凋亡作用。而且 SDAP1 和 SDAP2 可以抑制 GM 诱导的小鼠急性肾损伤。

https://cdn.ncbi.nlm.nih.gov/pmc/blobs/7b48/7518274/c87ef6d83d19/41598_2020_71943_Fig1_HTML.jpg

文献AI研究员

20分钟写一篇综述,助力文献阅读效率提升50倍。

立即体验

用中文搜PubMed

大模型驱动的PubMed中文搜索引擎

马上搜索

文档翻译

学术文献翻译模型,支持多种主流文档格式。

立即体验