Suppr超能文献

保加利亚黑海和意大利伊奥尼亚海鲻鱼体内重金属的环境调查及组织生物累积情况

Environmental Investigations and Tissue Bioaccumulation of Heavy Metals in Grey Mullet from the Black Sea (Bulgaria) and the Ionian Sea (Italy).

作者信息

Fazio Francesco, D'Iglio Claudio, Capillo Gioele, Saoca Concetta, Peycheva Katya, Piccione Giuseppe, Makedonski Lubomir

机构信息

Department of Veterinary Sciences, Polo Universitario Annunziata, University of Messina, 98168 Messina, Italy.

Institute for Marine Biological Resources and Biotechnology (IRBIM), National Research Council (CNR), Section of Messina, Spianata S. Raineri 86, 98122 Messina, Italy.

出版信息

Animals (Basel). 2020 Sep 24;10(10):1739. doi: 10.3390/ani10101739.

Abstract

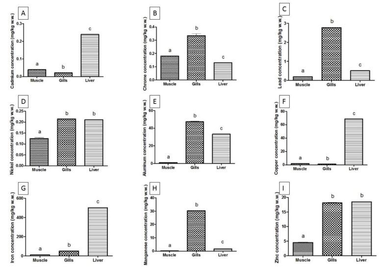
The environmental monitoring of chemical toxicants has been a widely studied topic in the last few decades. The main aim of the present study was to determine the total concentration of nine elements (Cd, Cr, Pb, Ni, Al, Cu, Fe, Mn, and Zn) in the fish species grey mullet ( and in the coastal marine waters collected from various sampling points along the Black Sea (Bulgaria) and the Ionian Sea (Italy). Further, those results were applied to predict the pollution degree in those coastal marine environments. The fish samples were subject to acid digestion followed by appropriate analytical determination. The metal concentrations in marine water samples collected from the Black Sea (Bulgaria) and the Ionian Sea (Italy) were also analyzed. Unpaired Student's t-test and the one-way ANOVA were applied for the statistical analysis of the data. The statistical results revealed a significant variation ( < 0.0001) in the concentration of various fish tissues. The accumulation of toxic and essential elements differs significantly in grey mullet species caught from the Black Sea (Bulgaria) and the Ionian Sea (Italy). The results from this study may serve as a convenient approach during marine pollution programs set by both countries (Italy and Bulgaria).

摘要

在过去几十年里,化学毒物的环境监测一直是一个被广泛研究的课题。本研究的主要目的是测定鲻鱼体内以及从黑海(保加利亚)和爱奥尼亚海(意大利)不同采样点采集的沿海水域中九种元素(镉、铬、铅、镍、铝、铜、铁、锰和锌)的总浓度。此外,将这些结果用于预测这些沿海水域环境的污染程度。鱼样本经过酸消解后进行适当的分析测定。还对从黑海(保加利亚)和爱奥尼亚海(意大利)采集的海水样本中的金属浓度进行了分析。采用非配对学生t检验和单因素方差分析对数据进行统计分析。统计结果显示,各种鱼组织的浓度存在显著差异(<0.0001)。从黑海(保加利亚)和爱奥尼亚海(意大利)捕获的鲻鱼物种中,有毒元素和必需元素的积累存在显著差异。本研究结果可为意大利和保加利亚两国开展的海洋污染项目提供一种便捷的方法。

https://cdn.ncbi.nlm.nih.gov/pmc/blobs/54a9/7599889/821576a70002/animals-10-01739-g001.jpg

文献AI研究员

20分钟写一篇综述,助力文献阅读效率提升50倍。

立即体验

用中文搜PubMed

大模型驱动的PubMed中文搜索引擎

马上搜索

文档翻译

学术文献翻译模型,支持多种主流文档格式。

立即体验