Suppr超能文献

儿科脓毒症预后标志物的表现。

Performance of prognostic markers in pediatric sepsis.

机构信息

Pontifícia Universidade Católica do Rio Grande do Sul (PUCRS), Hospital São Lucas, Faculdade de Medicina e Medicina Intensiva Pediátrica, Departamento de Pediatria, Porto Alegre, RS, Brazil.

Pontifícia Universidade Católica do Rio Grande do Sul (PUCRS), Hospital São Lucas, Faculdade de Medicina e Medicina Intensiva Pediátrica, Programa de Pós-Graduação em Pediatria e Saúde Infantil, Porto Alegre, RS, Brazil.

出版信息

J Pediatr (Rio J). 2021 May-Jun;97(3):287-294. doi: 10.1016/j.jped.2020.07.008. Epub 2020 Sep 28.

Abstract

OBJECTIVE

To evaluate the prognostic performance of the Pediatric Index of Mortality 2 (PIM2), ferritin, lactate, C-reactive protein (CRP), and leukocytes, alone and in combination, in pediatric patients with sepsis admitted to the pediatric intensive care unit (PICU).

METHODS

A retrospective study was conducted in a PICU in Brazil. All patients aged 6 months to 18 years admitted with a diagnosis of sepsis were eligible for inclusion. Those with ferritin and C-reactive protein measured within 48h and lactate and leukocytes within 24h of admission were included in the prognostic performance analysis.

RESULTS

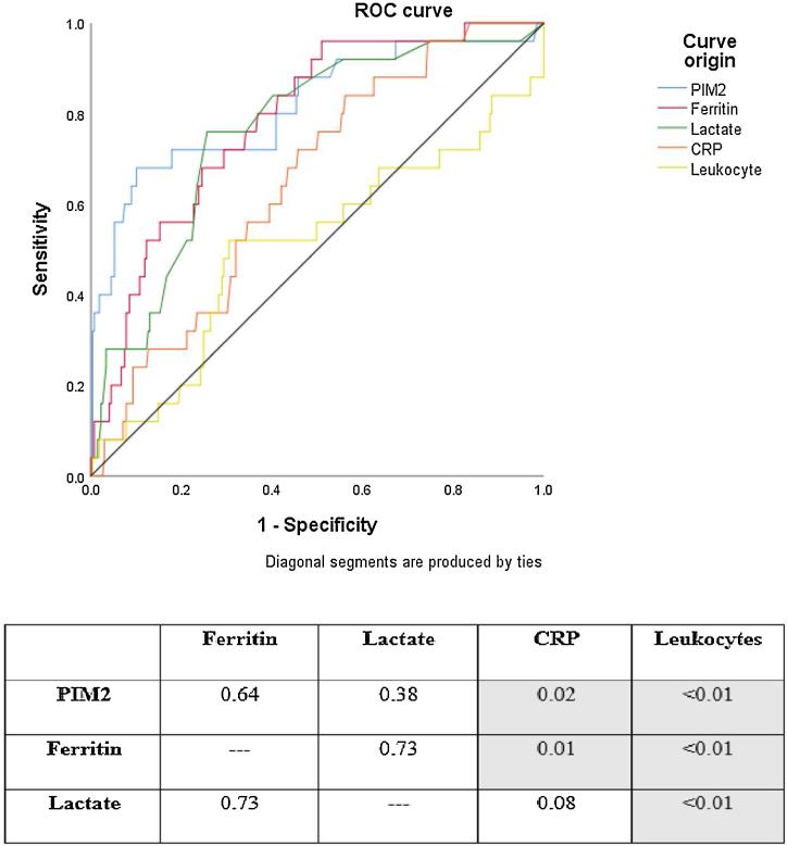
Of 350 eligible patients with sepsis, 294 had undergone all measurements required for analysis and were included in the study. PIM2, ferritin, lactate, and CRP had good discriminatory power for mortality, with PIM2 and ferritin being superior to CRP. The cutoff values for PIM2 (> 14%), ferritin (> 135ng/mL), lactate (> 1.7mmol/L), and CRP (> 6.7mg/mL) were associated with mortality. The combination of ferritin, lactate, and CRP had a positive predictive value of 43% for mortality, similar to that of PIM2 alone (38.6%). The combined use of the three biomarkers plus PIM2 increased the positive predictive value to 76% and accuracy to 0.945.

CONCLUSIONS

PIM2, ferritin, lactate, and CRP alone showed good prognostic performance for mortality in pediatric patients older than 6 months with sepsis. When combined, they were able to predict death in three-fourths of the patients with sepsis. Total leukocyte count was not useful as a prognostic marker.

摘要

目的

评估儿科死亡指数 2(PIM2)、铁蛋白、乳酸、C 反应蛋白(CRP)和白细胞单独及联合用于儿科重症监护病房(PICU)中脓毒症患儿的预后表现。

方法

本研究为巴西某 PICU 的回顾性研究。所有年龄在 6 个月至 18 岁之间、被诊断为脓毒症的患儿均符合纳入标准。将铁蛋白和 CRP 测量值在入院后 48 小时内,乳酸和白细胞在入院后 24 小时内获得的患儿纳入预后表现分析。

结果

350 例符合条件的脓毒症患儿中,294 例完成了所有分析所需的测量,被纳入研究。PIM2、铁蛋白、乳酸和 CRP 对死亡率具有良好的区分能力,PIM2 和铁蛋白优于 CRP。PIM2(>14%)、铁蛋白(>135ng/mL)、乳酸(>1.7mmol/L)和 CRP(>6.7mg/mL)的截断值与死亡率相关。铁蛋白、乳酸和 CRP 联合使用时,对死亡率的阳性预测值为 43%,与单独使用 PIM2(38.6%)相似。三种生物标志物加 PIM2 的联合使用将阳性预测值提高至 76%,准确率提高至 0.945。

结论

PIM2、铁蛋白、乳酸和 CRP 单独使用时,对 6 个月以上脓毒症患儿的死亡率具有良好的预后表现。联合使用时,可预测四分之三的脓毒症患儿死亡。白细胞总数不能作为预后标志物。

https://cdn.ncbi.nlm.nih.gov/pmc/blobs/c5f0/9432292/b6af9bc71efc/gr1.jpg

文献AI研究员

20分钟写一篇综述,助力文献阅读效率提升50倍。

立即体验

用中文搜PubMed

大模型驱动的PubMed中文搜索引擎

马上搜索

文档翻译

学术文献翻译模型,支持多种主流文档格式。

立即体验