Suppr超能文献

改良全身炎症评分对结外自然杀伤/T细胞淋巴瘤患者的预后价值

Prognostic Value of the Modified Systemic Inflammation Score in Patients With Extranodal Natural Killer/T-Cell Lymphoma.

作者信息

Huang He, Chen Li Min, Fang Xiao Jie, Guo Cheng Cheng, Lin Xiao Ping, Hong Huang Ming, Li Xi, Wang Zhao, Tian Ying, Chen Mei Ting, Yao Yu Yi, Chen Zegeng, Li Xiao Qian, Pan Fei

机构信息

Department of Medical Oncology, Sun Yat-sen University Cancer Center (SYSUCC), Guangzhou, China.

State Key Laboratory of Oncology in South China, Sun Yat-sen University Cancer Center (SYSUCC), Guangzhou, China.

出版信息

Front Pharmacol. 2020 Sep 30;11:593392. doi: 10.3389/fphar.2020.593392. eCollection 2020.

Abstract

BACKGROUND

Extranodal natural killer/T-cell lymphoma (ENKTL) is a rare and extremely malignant tumor. The systemic inflammation score (SIS), which is based on the pretreatment level of lymphocyte-to-monocyte ratio (LMR) and serum albumin (Alb), has been shown to be of prognostic value in a number of cancers. We integrate several other pretreatment serum inflammatory indicators, including the neutrophil-to-lymphocyte ratio (NLR), lymphocyte-to-monocyte ratio (LMR), serum C-reactive protein (CRP) and albumin (Alb) level, to establish a modified systemic inflammatory scoring system to predict clinical outcomes of ENKTL.

METHODS

A total of 184 patients with newly diagnosed ENKTL was retrospectively investigated. Systemic inflammatory indexes, including NLR, LMR, CRP, and Alb level were reviewed. Receiver operating characteristic (ROC) curve analysis was carried out to obtain the optimal cut-off value. The associations between cutoff values and overall survival (OS) were analyzed by Kaplan-Meier curves and Cox proportional models.

RESULTS

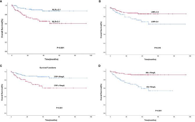
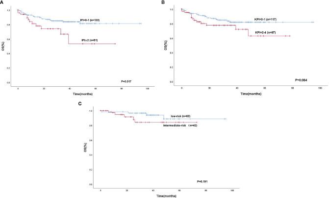
The median age of patients was 44.0 years, ranging from 15 to 82 years. There were 129 (70.1%) male patient. About 57.1% of patients had stage III or IV disease. The optimal cut-off values of NLR and LMR in predicting OS were 3.1 and 2.4, respectively. The clinical standard of CRP and Alb levels at 10 and 40 mg/L, respectively, were chosen as the optimal cut-off values. By multivariate analysis, hemophilic syndrome (hazard ratio [HR]: 10.540, 95% confidence interval [CI]: 3.440-32.291, P < 0.001), advanced Ann Arbor stages (III-IV) (HR: 4.606, 95% CI: 1.661-12.774, P = 0.003), paranasal sinus invasion (HR: 2.323, 95% CI: 1.069-5.047, P = 0.033), NLR ≥ 3.1 (HR: 3.019, 95% CI: 1.317-6.923, P = 0.009), Alb level of <40 mg/L (HR: 0.350, 95% CI: 0.134-0.915, P = 0.032), and radiation therapy (HR: 0.430, 95% CI: 0.205-0.901, P = 0.025) were independent protective factors for ENKTL. We combined two inflammatory indexes NLR and Alb level to establish a modified systemic inflammation score (mSIS). These 184 patients were divided into 3 groups: group 1 (mSIS score of 0), group 2 (mSIS score of 1), and group 3 (mSIS score of 2). The mean OS of these three groups were 42 months (95% CI: 31.4-53.12), 77 months (95% CI: 68.5-87.5), and 89 months (95% CI: 71.4-82.7), respectively (P < 0.001). The Harrell's concordance index (C-index) of mSIS is 0.725. The mSIS could be used to discriminate patients categorized in the low-risk group of International Prognostic Index (IPI) (P < 0.001) and the low-risk and intermediate-risk prognostic index of natural killer cell lymphoma (PINK) group (P = 0.019).

CONCLUSION

The pretreatment mSIS could be an independent prognostic factor for OS in patients with ENKTL and warrants further research.

摘要

背景

结外自然杀伤/T细胞淋巴瘤(ENKTL)是一种罕见且极具侵袭性的肿瘤。基于淋巴细胞与单核细胞比值(LMR)和血清白蛋白(Alb)的预处理水平的全身炎症评分(SIS),已在多种癌症中显示出具有预后价值。我们整合了其他几种预处理血清炎症指标,包括中性粒细胞与淋巴细胞比值(NLR)、淋巴细胞与单核细胞比值(LMR)、血清C反应蛋白(CRP)和白蛋白(Alb)水平,以建立一种改良的全身炎症评分系统来预测ENKTL的临床结局。

方法

回顾性研究了184例新诊断的ENKTL患者。回顾了全身炎症指标,包括NLR、LMR、CRP和Alb水平。进行受试者操作特征(ROC)曲线分析以获得最佳临界值。通过Kaplan-Meier曲线和Cox比例模型分析临界值与总生存期(OS)之间的关联。

结果

患者的中位年龄为44.0岁,范围为15至82岁。有129例(70.1%)男性患者。约57.1%的患者患有III期或IV期疾病。NLR和LMR预测OS的最佳临界值分别为3.1和2.4。分别选择CRP和Alb水平为10和40 mg/L的临床标准作为最佳临界值。通过多因素分析,嗜血综合征(风险比[HR]:10.540,95%置信区间[CI]:3.440 - 32.291,P < 0.001)、Ann Arbor分期晚期(III - IV期)(HR:4.606,95% CI:1.661 - 12.774,P = 0.003)、鼻窦侵犯(HR:2.323,95% CI:1.069 - 5.047,P = 0.033)、NLR≥3.1(HR:3.019,95% CI:1.317 - 6.923,P = 0.009)、Alb水平<40 mg/L(HR:0.350,95% CI:0.134 - 0.915,P = 0.032)以及放疗(HR:0.430,95% CI:0.205 - 0.901,P = 0.025)是ENKTL的独立保护因素。我们将两个炎症指标NLR和Alb水平相结合,建立了改良的全身炎症评分(mSIS)。这184例患者被分为3组:第1组(mSIS评分为0)、第2组(mSIS评分为1)和第3组(mSIS评分为2)。这三组的平均OS分别为42个月(95% CI:31.4 - 53.12)、77个月(95% CI:68.5 - 87.5)和89个月(95% CI:71.4 - 82.7)(P < 0.001)。mSIS的Harrell一致性指数(C指数)为0.725。mSIS可用于区分国际预后指数(IPI)低风险组(P < 0.001)以及自然杀伤细胞淋巴瘤(PINK)组的低风险和中风险预后指数的患者(P = 0.019)。

结论

预处理的mSIS可能是ENKTL患者OS的独立预后因素,值得进一步研究。

https://cdn.ncbi.nlm.nih.gov/pmc/blobs/7c92/7554510/289e9f0e726c/fphar-11-593392-g001.jpg

文献AI研究员

20分钟写一篇综述,助力文献阅读效率提升50倍。

立即体验

用中文搜PubMed

大模型驱动的PubMed中文搜索引擎

马上搜索

文档翻译

学术文献翻译模型,支持多种主流文档格式。

立即体验