Suppr超能文献

叔丁基-(4-羟基-3-((3-(2-甲基哌啶基)丙基)氨基甲酰基)苯基)氨基甲酸酯对淀粉样蛋白β 1-42 刺激的星形胶质细胞和东莨菪碱模型具有适度的保护活性。

Tert-butyl-(4-hydroxy-3-((3-(2-methylpiperidin-yl)propyl)carbamoyl)phenyl)carbamate Has Moderated Protective Activity in Astrocytes Stimulated with Amyloid Beta 1-42 and in a Scopolamine Model.

机构信息

Laboratorio de Biofísica y biocatálisis, Escuela Superior de Medicina, Instituto Politécnico Nacional, Plan de San Luis y Diaz Mirón s/n, 11340 Ciudad de México, Mexico.

Unidad Periférica de Neurociencias, Facultad de Medicina UNAM-Instituto Nacional de Neurología y Neurocirugía, MVS-SSA, Insurgentes sur 3877, La Fama, Tlalpan, 14269 Ciudad de México, Mexico.

出版信息

Molecules. 2020 Oct 29;25(21):5009. doi: 10.3390/molecules25215009.

Abstract

Alzheimer's disease (AD) is a neurodegenerative disease with no cure nowadays; there is no treatment either to prevent or to stop its progression. In vitro studies suggested that tert-butyl-(4-hydroxy-3-((3-(2-methylpiperidin-yl)propyl)carbamoyl)phenyl) carbamate named the compound can act as both β-secretase and an acetylcholinesterase inhibitor, preventing the amyloid beta peptide (Aβ) aggregation and the formation of fibrils (fAβ) from Aβ. This work first aimed to assess in in vitro studies to see whether the death of astrocyte cells promoted by Aβ could be prevented. Second, our work investigated the ability of the compound to inhibit amyloidogenesis using an in vivo model after scopolamine administration. The results showed that possesses a moderate protective effect in astrocytes against Aβ due to a reduction in the TNF-α and free radicals observed in cell cultures. In the in vivo studies, however, no significant effect of was observed in comparison with a galantamine model employed in rats, in which case this outcome was attributed to the bioavailability of in the brain of the rats.

摘要

阿尔茨海默病(AD)是一种神经退行性疾病,目前尚无治愈方法;也没有预防或阻止其进展的治疗方法。体外研究表明,tert-butyl-(4-hydroxy-3-((3-(2-methylpiperidin-yl)propyl)carbamoyl)phenyl)carbamate 命名为化合物可以作为β-分泌酶和乙酰胆碱酯酶抑制剂,防止淀粉样β肽(Aβ)聚集和 Aβ形成纤维(fAβ)。这项工作首先旨在评估体外研究,以观察是否可以预防 Aβ 诱导的星形胶质细胞死亡。其次,我们的工作研究了该化合物在 scopolamine 给药后使用体内模型抑制淀粉样蛋白形成的能力。结果表明,由于细胞培养中观察到 TNF-α 和自由基的减少,化合物对 Aβ 诱导的星形胶质细胞具有适度的保护作用。然而,与在大鼠中使用加兰他敏模型相比,在体内研究中没有观察到化合物的显著作用,这种结果归因于化合物在大鼠大脑中的生物利用度。

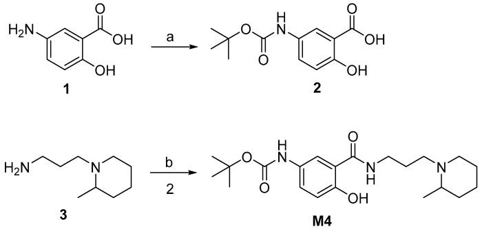
https://cdn.ncbi.nlm.nih.gov/pmc/blobs/160d/7672627/7c974a57c18c/molecules-25-05009-sch001.jpg

文献AI研究员

20分钟写一篇综述,助力文献阅读效率提升50倍。

立即体验

用中文搜PubMed

大模型驱动的PubMed中文搜索引擎

马上搜索

文档翻译

学术文献翻译模型,支持多种主流文档格式。

立即体验