Suppr超能文献

危重症患者颞动脉温度测量与膀胱温度测量的比较:一项前瞻性观察研究。

Temporal artery temperature measurements versus bladder temperature in critically ill patients, a prospective observational study.

机构信息

Department of Critical Care, University Medical Center Groningen, University of Groningen, Groningen, The Netherlands.

Research Group Nursing Diagnostics, Hanze University of Applied Sciences, Groningen, The Netherlands.

出版信息

PLoS One. 2020 Nov 6;15(11):e0241846. doi: 10.1371/journal.pone.0241846. eCollection 2020.

Abstract

PURPOSE

Accurate measurement of body temperature is important for the timely detection of fever or hypothermia in critically ill patients. In this prospective study, we evaluated whether the agreement between temperature measurements obtained with TAT (test method) and bladder catheter-derived temperature measurements (BT; reference method) is sufficient for clinical practice in critically ill patients.

METHODS

Patients acutely admitted to the Intensive Care Unit were included. After BT was recorded TAT measurements were performed by two independent researchers (TAT1; TAT2). The agreement between TAT and BT was assessed using Bland-Altman plots. Clinical acceptable limits of agreement (LOA) were defined a priori (<0.5°C). Subgroup analysis was performed in patients receiving norepinephrine.

RESULTS

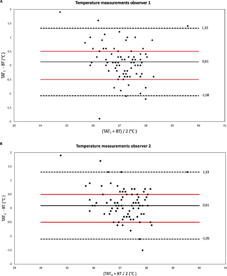
In total, 90 critically ill patients (64 males; mean age 62 years) were included. The observed mean difference (TAT-BT; ±SD, 95% LOA) between TAT and BT was 0.12°C (-1.08°C to +1.32°C) for TAT1 and 0.14°C (-1.05°C to +1.33°C) for TAT2. 36% (TAT1) and 42% (TAT2) of all paired measurements failed to meet the acceptable LOA of 0.5°C. Subgroup analysis showed that when patients were receiving intravenous norepinephrine, the measurements of the test method deviated more from the reference method (p = NS).

CONCLUSION

The TAT is not sufficient for clinical practice in critically ill adults.

摘要

目的

准确测量体温对于及时发现危重症患者发热或低体温至关重要。在这项前瞻性研究中,我们评估了 TAT(试验方法)和膀胱导管温度测量(BT;参考方法)之间的温度测量结果是否具有足够的一致性,以用于危重症患者的临床实践。

方法

纳入急性入住重症监护病房的患者。在记录 BT 后,由两名独立研究人员(TAT1;TAT2)进行 TAT 测量。使用 Bland-Altman 图评估 TAT 与 BT 之间的一致性。预先定义了临床可接受的一致性界限(LOA)(<0.5°C)。对接受去甲肾上腺素治疗的患者进行亚组分析。

结果

共纳入 90 例危重症患者(64 名男性;平均年龄 62 岁)。TAT1 和 TAT2 测量的 TAT 与 BT 之间的观察平均差值(TAT-BT;±SD,95% LOA)分别为 0.12°C(-1.08°C 至 +1.32°C)和 0.14°C(-1.05°C 至 +1.33°C)。36%(TAT1)和 42%(TAT2)的所有配对测量结果未能达到可接受的 0.5°C LOA。亚组分析显示,当患者接受静脉注射去甲肾上腺素时,试验方法的测量结果与参考方法的偏差更大(p = NS)。

结论

TAT 不适用于成年危重症患者的临床实践。

https://cdn.ncbi.nlm.nih.gov/pmc/blobs/6e20/7647096/4ab5f09cbab3/pone.0241846.g001.jpg

文献AI研究员

20分钟写一篇综述,助力文献阅读效率提升50倍。

立即体验

用中文搜PubMed

大模型驱动的PubMed中文搜索引擎

马上搜索

文档翻译

学术文献翻译模型,支持多种主流文档格式。

立即体验