Suppr超能文献

稳定型冠状动脉疾病及不同低密度脂蛋白胆固醇水平患者中句法评分与脂蛋白(a)水平及炎症生物标志物的关联

The Association of Syntax Score with Levels of Lipoprotein(a) and Inflammatory Biomarkers in Patients with Stable Coronary Artery Disease and Different Low-Density Lipoprotein Cholesterol Levels.

作者信息

Xu Weifeng, Guan Haiwang, Gao Da, Wang Zicheng, Ba Yanna, Yang Hao, Shen Wenjun, Lian Jiangfang, Zhou Jianqing

机构信息

Department of Cardiology, Ningbo Medical Center Lihuili Hospital, Ningbo 315040, People's Republic of China.

出版信息

Diabetes Metab Syndr Obes. 2020 Nov 12;13:4297-4310. doi: 10.2147/DMSO.S279814. eCollection 2020.

Abstract

INTRODUCTION

Lipoprotein(a) (Lp(a)) is associated with the severity of coronary lesions evaluated using Syntax score in patients with stable coronary artery disease (CAD). However, the effect of low-density lipoprotein cholesterol (LDL-C) levels on the association of Lp(a) levels with Syntax score remains unclear.

METHODS

A total of 646 patients with stable CAD were enrolled in the present study. Lp(a) levels were measured with an AU5800 Chemistry Analyzer. Syntax scores were calculated by two advanced interventional cardiologists. SPSS 22.0 was used for statistical analyses.

RESULTS

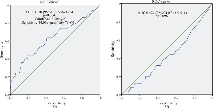
The concentration of Lp(a) ranged from 1 to 192 mg/dL. Pearson's correlation analysis showed a positive correlation between Syntax score and the level of Lp(a) (r = 0.108, = 0.006). The LDL-C ≥100 mg/dL group presented with a higher Lp(a) level, 16 (9-29) vs 13 (7-24). Pearson's correlation analysis identified a correlation between Lp(a) level and Syntax score (r = 0.249, < 0.001) only in the LDL-C ≥100 mg/dL group. Multivariate logistic regression analysis revealed the positive predictive value of an Lp(a) level >30 mg/dL for a Syntax score ≥23 only in the LDL-C ≥100 mg/dL group, adjusted odds ratio 2.895, = 0.010. A receiver operating characteristic curve analysis confirmed the predictive value of Lp(a) levels for a Syntax score ≥23 in the LDL-C ≥100 mg/dL group with a cutoff value for Lp(a) >30 mg/dL.

DISCUSSION

The association between Lp(a) level and Syntax score was only maintained in the LDL-C ≥100 mg/dL group. An Lp(a) level >30 mg/dL was an independent predictor of a Syntax score ≥23 only in the LDL-C ≥100 mg/dL group. The effect of LDL-C levels on the association of Lp(a) levels with Syntax score requires further investigations.

摘要

引言

脂蛋白(a)[Lp(a)]与使用SYNTAX评分评估的稳定型冠状动脉疾病(CAD)患者的冠状动脉病变严重程度相关。然而,低密度脂蛋白胆固醇(LDL-C)水平对Lp(a)水平与SYNTAX评分之间关联的影响仍不清楚。

方法

本研究共纳入646例稳定型CAD患者。使用AU5800化学分析仪测量Lp(a)水平。由两名高级介入心脏病专家计算SYNTAX评分。采用SPSS 22.0进行统计分析。

结果

Lp(a)浓度范围为1至192mg/dL。Pearson相关性分析显示SYNTAX评分与Lp(a)水平呈正相关(r = 0.108,P = 0.006)。LDL-C≥100mg/dL组的Lp(a)水平较高,分别为16(9 - 29)与13(7 - 24)。Pearson相关性分析仅在LDL-C≥100mg/dL组中确定Lp(a)水平与SYNTAX评分之间存在相关性(r = 0.249,P < 0.001)。多因素逻辑回归分析显示,仅在LDL-C≥100mg/dL组中,Lp(a)水平>30mg/dL对SYNTAX评分≥23具有阳性预测价值,校正比值比为2.895,P = 0.010。受试者工作特征曲线分析证实,在LDL-C≥100mg/dL组中,Lp(a)水平对SYNTAX评分≥23具有预测价值,Lp(a)的截断值>30mg/dL。

讨论

Lp(a)水平与SYNTAX评分之间的关联仅在LDL-C≥100mg/dL组中存在。仅在LDL-C≥100mg/dL组中,Lp(a)水平>30mg/dL是SYNTAX评分≥23的独立预测因素。LDL-C水平对Lp(a)水平与SYNTAX评分之间关联的影响需要进一步研究。

https://cdn.ncbi.nlm.nih.gov/pmc/blobs/aa8d/7669512/0076fa620e30/DMSO-13-4297-g0001.jpg

文献AI研究员

20分钟写一篇综述,助力文献阅读效率提升50倍。

立即体验

用中文搜PubMed

大模型驱动的PubMed中文搜索引擎

马上搜索

文档翻译

学术文献翻译模型,支持多种主流文档格式。

立即体验