Suppr超能文献

真菌α-1,3-葡聚糖激活昆虫模型宿主家蚕的细胞免疫反应。

Activation of cellular immune response in insect model host Galleria mellonella by fungal α-1,3-glucan.

机构信息

Maria Curie-Skłodowska University, Institute of Biological Sciences, Faculty of Biology and Biotechnology, Department of Immunobiology, Akademicka 19 St., 20-033 Lublin, Poland.

Maria Curie-Skłodowska University, Institute of Biological Sciences, Faculty of Biology and Biotechnology, Department of Industrial and Environmental Microbiology, Akademicka 19 St., 20-033 Lublin, Poland.

出版信息

Pathog Dis. 2020 Dec 9;78(9). doi: 10.1093/femspd/ftaa062.

Abstract

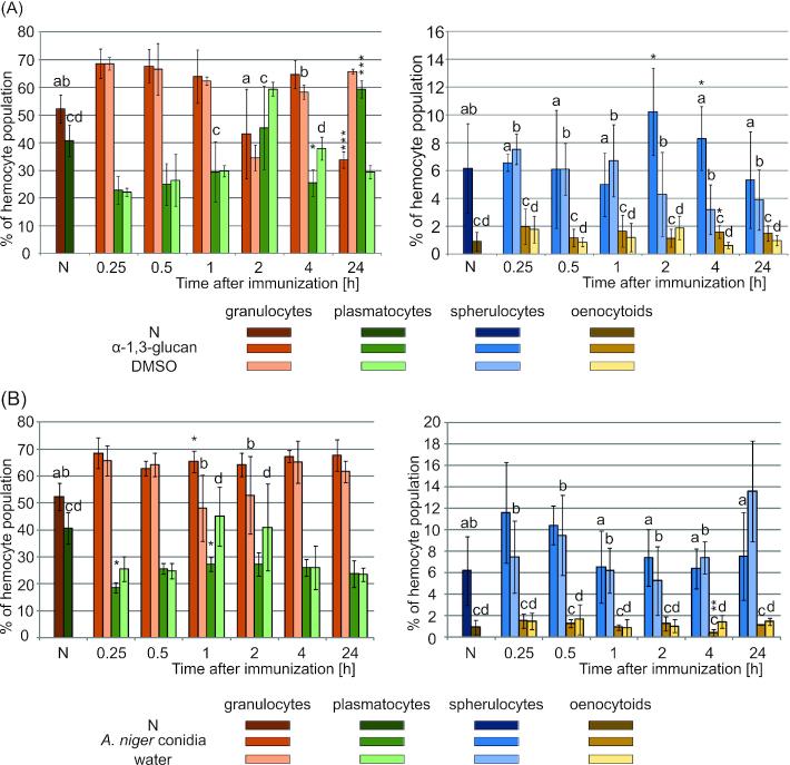
Alpha-1,3-glucan, in addition to β-1,3-glucan, is an important polysaccharide component of fungal cell walls. It is reported for many fungal species, including human pathogenic genera: Aspergillus, Blastomyces, Coccidioides, Cryptococcus, Histoplasma and Pneumocystis, plant pathogens, e.g. Magnaporthe oryzae and entomopathogens, e.g. Metarhizium acridum. In human and plant pathogenic fungi, α-1,3-glucan is considered as a shield for the β-1,3-glucan layer preventing recognition of the pathogen by the host. However, its role in induction of immune response is not clear. In the present study, the cellular immune response of the greater wax moth Galleria mellonella to Aspergillus niger α-1,3-glucan was investigated for the first time. The changes detected in the total hemocyte count (THC) and differential hemocyte count (DHC), formation of hemocyte aggregates and changes in apolipophorin III localization indicated activation of G. mellonella cellular mechanisms in response to immunization with A. niger α-1,3-glucan. Our results, which have clearly demonstrated the response of the insect immune system to this fungal cell wall component, will help in understanding the α-1,3-glucan role in immune response against fungal pathogens not only in insects but also in mammals, including humans.

摘要

α-1,3-葡聚糖除了β-1,3-葡聚糖之外,也是真菌细胞壁的重要多糖成分。它被报道存在于许多真菌物种中,包括人类病原体属:曲霉属、芽生菌属、球孢子菌属、隐球菌属、组织胞浆菌属和卡氏肺囊虫,植物病原体,如稻瘟病菌,以及昆虫病原体,如金龟子绿僵菌。在人类和植物病原体真菌中,α-1,3-葡聚糖被认为是β-1,3-葡聚糖层的护盾,防止宿主识别病原体。然而,其在诱导免疫反应中的作用尚不清楚。在本研究中,首次研究了大蜡螟(Galleria mellonella)对黑曲霉(Aspergillus niger)α-1,3-葡聚糖的细胞免疫反应。总血细胞计数(THC)和差异血细胞计数(DHC)的变化、血细胞聚集的形成以及载脂蛋白 III 定位的变化表明,大蜡螟细胞机制对黑曲霉α-1,3-葡聚糖的免疫接种产生了激活。我们的研究结果清楚地表明了昆虫免疫系统对这种真菌细胞壁成分的反应,这将有助于理解α-1,3-葡聚糖在免疫反应中的作用,不仅针对昆虫,还针对哺乳动物,包括人类中的真菌病原体。

https://cdn.ncbi.nlm.nih.gov/pmc/blobs/085e/7726367/895e403fd9ed/ftaa062fig1.jpg

文献AI研究员

20分钟写一篇综述,助力文献阅读效率提升50倍。

立即体验

用中文搜PubMed

大模型驱动的PubMed中文搜索引擎

马上搜索

文档翻译

学术文献翻译模型,支持多种主流文档格式。

立即体验