Suppr超能文献

脆性X综合征男性患者大脑代谢型谷氨酸受体5亚型表达降低

Reduced Expression of Cerebral Metabotropic Glutamate Receptor Subtype 5 in Men with Fragile X Syndrome.

作者信息

Brašić James R, Nandi Ayon, Russell David S, Jennings Danna, Barret Olivier, Mathur Anil, Slifer Keith, Sedlak Thomas, Martin Samuel D, Brinson Zabecca, Vyas Pankhuri, Seibyl John P, Berry-Kravis Elizabeth M, Wong Dean F, Budimirovic Dejan B

机构信息

Section of High Resolution Brain Positron Emission Tomography Imaging, Division of Nuclear Medicine and Molecular Imaging, The Russell H. Morgan Department of Radiology and Radiological Science, The Johns Hopkins University School of Medicine, Baltimore, MD 21287, USA.

Clinical Research, Institute for Neurodegenerative Disorders, New Haven, CT 06510, USA.

出版信息

Brain Sci. 2020 Nov 24;10(12):899. doi: 10.3390/brainsci10120899.

Abstract

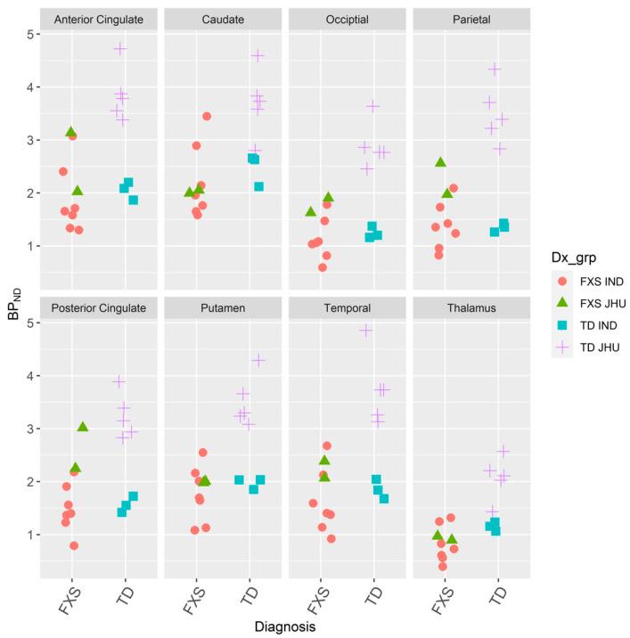
Glutamatergic receptor expression is mostly unknown in adults with fragile X syndrome (FXS). Favorable behavioral effects of negative allosteric modulators (NAMs) of the metabotropic glutamate receptor subtype 5 (mGluR) in knockout (KO) mouse models have not been confirmed in humans with FXS. Measurement of cerebral mGluR expression in humans with FXS exposed to NAMs might help in that effort. We used positron emission tomography (PET) to measure the mGluR density as a proxy of mGluR expression in cortical and subcortical brain regions to confirm target engagement of NAMs for mGluRs. The density and the distribution of mGluR were measured in two independent samples of men with FXS ( = 9) and typical development (TD) ( = 8). We showed the feasibility of this complex study including MRI and PET, meaning that this challenging protocol can be accomplished in men with FXS with an adequate preparation. Analysis of variance of estimated mGluR expression showed that mGluR expression was significantly reduced in cortical and subcortical regions of men with FXS in contrast to age-matched men with TD.

摘要

在患有脆性X综合征(FXS)的成年人中,谷氨酸能受体的表达情况大多未知。在敲除(KO)小鼠模型中,代谢型谷氨酸受体5(mGluR)的负变构调节剂(NAMs)具有良好的行为学效应,但在患有FXS的人类中尚未得到证实。测量暴露于NAMs的FXS患者大脑中的mGluR表达可能有助于这一研究。我们使用正电子发射断层扫描(PET)来测量mGluR密度,以此作为皮质和皮质下脑区mGluR表达的指标,以确认NAMs与mGluRs的靶点结合情况。在两个独立样本中测量了mGluR的密度和分布,其中一个样本是患有FXS的男性(n = 9),另一个样本是发育正常(TD)的男性(n = 8)。我们证明了这项包括MRI和PET的复杂研究的可行性,这意味着通过充分准备,这个具有挑战性的方案可以在患有FXS的男性中完成。对估计的mGluR表达进行方差分析表明,与年龄匹配的TD男性相比,患有FXS的男性皮质和皮质下区域的mGluR表达显著降低。

https://cdn.ncbi.nlm.nih.gov/pmc/blobs/90b9/7760509/fa67ae6d89ab/brainsci-10-00899-g001.jpg

文献AI研究员

20分钟写一篇综述,助力文献阅读效率提升50倍。

立即体验

用中文搜PubMed

大模型驱动的PubMed中文搜索引擎

马上搜索

文档翻译

学术文献翻译模型,支持多种主流文档格式。

立即体验